
Draft for Information Only
ContentFluid Motion
Fluid MotionThe fluidity property of fluid makes the motion of fluid very
complex. The velocity variation of each fluid
particle during fluid flow within the velocity field
Linear TranslationThe linear translation of a fluid element in a small time interval with same field velocity along the flow direction, for example in xy plane
Linear DeformationThe linear deformation of a fluid element in a small time interval with field velocity gradient along the flow direction, for example in xy plane
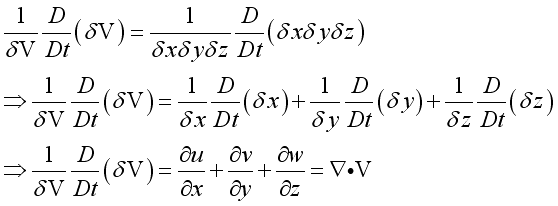
Linear Strain RateThe linear strain rate or the rate of change of length per unit length along one of the flow direction can be expressed as
Let
Angular RotationWhen there is a cross flow velocity gradient along the flow, the fluid element will rotate, for example in the xy-plane,
Angular DeformationIn a small time interval, the angular deformations of the fluid element, for example in the xy-plane.
Therefore for small angles,
and
Angular Strain RateThe angular strain rate or the rate of shear strain by definition can be expressed as
and in terms of strain rate tensor ![]() ©sideway ID: 100200003 Last Updated: 2/10/2010 Revision: 1 Latest Updated Links
Nu Html Checker 53 na |
![]() Home 5 Business Management HBR 3 Information Recreation Hobbies 9 Culture Chinese 1097 English 339 Travel 41 Reference 79 Hardware 55 Computer Hardware 260 Software Application 213 Digitization 37 Latex 52 Manim 205 KB 1 Numeric 19 Programming Web 289 Unicode 504 HTML 66 CSS 65 SVG 46 ASP.NET 270 OS 431 DeskTop 7 Python 72 Knowledge Mathematics Formulas 8 Set 1 Logic 1 Algebra 84 Number Theory 206 Trigonometry 31 Geometry 34 Calculus 67 Engineering Tables 8 Mechanical Rigid Bodies Statics 92 Dynamics 37 Fluid 5 Fluid Kinematics 5 Control Acoustics 19 Natural Sciences Matter 1 Electric 27 Biology 1 |
Copyright © 2000-2026 Sideway . All rights reserved Disclaimers last modified on 06 September 2019