
Draft for Information Only
Impedance TubeThe impedance tube can be used to measure the absorption coefficient of a material. The structure of the impedance tube compose of a rigid tube with a heavy rigid sample holder at one end to hold the testing sample and a loudspeaker is fixed at the other end as the sound source at individual frequencies. A microphone probe is used to measure the acoustic level in the tube along the axis. The lower frequency should be at least three quarters of the wavelength inside the tube, and the upper frequency is limited by the diameter of tube and is equal to 1.84c/πd.
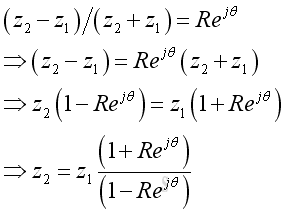
The impedances of the mediums are:
The specific acoustic impedance ratio of the sample is:
Amplitude of Total Pressure The amplitude of the total pressure is
The maximum amplitude of the total pressure is :
The minimum amplitude of the total pressure is :
Sound Power Absorption Coefficient The sound power reflection coefficient is:
Let the ratio of measured maximum amplitude over minimum amplitude be S, imply
Therefore pressure reflection coefficient is
And the sound power absorption coefficient is
Impedance of Absorption Material From the amplitude of the total pressure, the requirment for first maximum closest to the termination is :
x is on the left of the boundary, therefore
If the first extreme is a minimum:
Substitute into the specific acoustic impedance ratio of the sample and get
Two microphone method The pressure signals is measured by two microphones in fixed positions with a distances away from the sample surface. A transfer function can relate the measurements of two microphones and determines the relative magnitude and phase of the reflection coefficient as a function of frequency. And the impedance can then be found from the reflection coefficient. ©sideway ID: 101000018 Last Updated: 10/18/2010 Revision: 0 Ref: References
Latest Updated Links
Nu Html Checker 53 na |
![]() Home 5 Business Management HBR 3 Information Recreation Hobbies 9 Culture Chinese 1097 English 339 Travel 41 Reference 79 Hardware 55 Computer Hardware 260 Software Application 213 Digitization 37 Latex 52 Manim 205 KB 1 Numeric 19 Programming Web 289 Unicode 504 HTML 66 CSS 65 SVG 46 ASP.NET 270 OS 431 DeskTop 7 Python 72 Knowledge Mathematics Formulas 8 Set 1 Logic 1 Algebra 84 Number Theory 206 Trigonometry 31 Geometry 34 Calculus 67 Engineering Tables 8 Mechanical Rigid Bodies Statics 92 Dynamics 37 Fluid 5 Control Acoustics 19 Natural Sciences Matter 1 Electric 27 Biology 1 |
Copyright © 2000-2026 Sideway . All rights reserved Disclaimers last modified on 06 September 2019