
Property of Definite IntProperty of Indefinite IntBy Anti-DifferentiationBy Substitution Draft for Information Only
Content
Rules of Integration for Indefinite
Integral
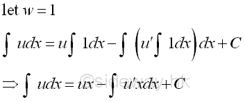
Rules of Integration for Indefinite IntegralIn order to simplify the task of finding integrals, some integration techniques are developed to help finding integrals by transforming the integral into two parts. Integration by Parts for Indefinite IntegralIntegration by part is method of transforming the original integral of product of two functions into two integrals for taking the advantage of substitution or transformion of the integral to an easier form to continue the integration. The strategy is to simplify the integral by transforming the original integral into two parts which allowing the integration to be continued in other easier way. The technique is making use of the Rule of Product of Functions in differentiation. i.e.
Imply
Integration by Parts:The strategy of the method is making use of Rule of Product of Functions in differentiation for transforming the integral to two suitable formats to continue the integration.
As in reverse substitution, the formula is assumed the substitution is already there, but through the formula of transformation, the assumed substitued function is changed from the first function to the second or vice versa. In other words, the assumed substitued function becomes selectable after the transformation processes. The two processes of transformation are:
Substitute back. Imply:
The two functions of the original integrand are interchangable because of the cummutative property of function multiplications. The strategy of the method is making use of the applying of the differentiation operation to one function and the integration operation to the other function in the original integrand so that the integration of the transformed integrand can be continued. Besides through variable of integration transformation, the formula can be applied for single function also and therefore the integration by parts can be used as formula for the interchanging of variable of integration, imply
Techniques of Integration by Parts:
©sideway ID: 111000034 Last Updated: 10/30/2011 Revision: 0 Ref: References
Latest Updated Links
Nu Html Checker 53 na |
![]() Home 5 Business Management HBR 3 Information Recreation Hobbies 9 Culture Chinese 1097 English 339 Travel 41 Reference 79 Hardware 55 Computer Hardware 260 Software Application 213 Digitization 37 Latex 52 Manim 205 KB 1 Numeric 19 Programming Web 289 Unicode 504 HTML 66 CSS 65 SVG 46 ASP.NET 270 OS 431 DeskTop 7 Python 72 Knowledge Mathematics Formulas 8 Set 1 Logic 1 Algebra 84 Number Theory 206 Trigonometry 31 Geometry 34 Calculus 67 Engineering Tables 8 Mechanical Rigid Bodies Statics 92 Dynamics 37 Fluid 5 Control Acoustics 19 Natural Sciences Matter 1 Electric 27 Biology 1 |
Copyright © 2000-2026 Sideway . All rights reserved Disclaimers last modified on 06 September 2019