
|
Draft for Information Only
Content
Bounded Area of a Function
Bounded Area of a FunctionDefinite integral can be interpreted as the net signed area of the curve bounded by the curve of function f(x) and the x-axis on the closed interval [a,b].
Since Δx is always positive, each infinitesimal element of area will have the same sign as the value of function f(x). The infinitesimal element of area can be positive, negative or zero. The infinitesimal element of area is called the signed area under the curve because the positive area is under the curve and the negative area is above the curve. Therefore the summation of all infinitesimal elements is the net signed bounded area. And for problems of calculating the total bounded area of a function or concerning with the sign of the infinitesimal elements, the shape of the curve should be determined before applying the method of integration. Bounded Area of a Curve which is entirely above the x-axisWhen the curve of a function f(x) is entirely above the x-axis, the area obtained by integration is positive and all infinitesimal elements are under the curve.
The bounded area underneath the curve of function y=0.3(x-1)2+1 between the closed interval -4 and 4 and above the x-axis is
The bounded area under the curve and above the x-axis is positive and is equal to 23.2. But the integral of a function can be positive, negative or zero. Bounded Area of a Curve which is entirely below the x-axisWhen the curve of a function f(x) is entirely below the x-axis, the area obtained by integration is negative and all infinitesimal elements are above the curve.
The bounded area above the curve of function y=-0.3(x-1)2-1 between the closed interval -4 and 4 and below x-axis is
The bounded area above the curve and below the x-axis is negative and is equal to -23.2. The area is the absolute value of the signed area. But the integral of a function can be positive, negative or zero. Bounded Area of a Curve which is partly above and partly below the x-axisWhen the curve of a function f(x) is partly above and partly below the x-axis, the area obtained by integration is the net signed bounded area because the infinitesimal elements can be under or above the curve.
Net Bounded Area of a function:The net bounded area under the curve of function y=0.1(x-1)3-1 between the closed interval -4 and 4 of x axis is
The net bounded area bounded by the curve and the x-axis is negative and is equal to -21.6. The area is the absolute value of the signed area. But the integral of a function can be positive, negative or zero. Total Bounded Area of a function:In order to calculate the total bounded area, the shape of the function f(x) should be determined first. The x-intersect of f(x) when y=0 is equal to
The bounded area bounded by the curve and below the x-axis is
The bounded area bounded by the curve and above the x-axis is
Therefore the net bounded area bounded by the curve is -22.24+0.64=-21.6 as before and the total bounded area bounded by the curve is the sum of absolute area, i.e. 22.24+0.64=22.88
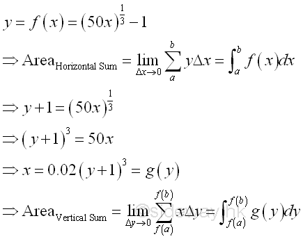
Bounded Area of a Curve through transformationSince finding the bounded area involving the finding of integral, sometimes finding the bounded area of a curve is much easier to sum vertically than to sum horizontally, that is using an easier way of finding the integral. And mathematically, the relationship between the bounded area by horizontal summation and the bounded area by vertical summation is
There is only a direct relationship between function f(x) and function g(x). And there is no direct relatonship between the horizontally summed area and the vertically summed area. In order to simplify the task of finding the integral, a transformation of the bounded area calculation is needed. The bounded area transformation can be carried out by integration by parts through the transformation of variable of integration.
Geometrical Representation of Integration by Parts:Through variable of integration transformation, the formula of integration by parts can be used for the transformation of bounded area summation. In the formulas of integration by parts above, the x is obtained from dx through integration or the y is obtained from dy through integration. The practical forms of integration by parts are
The first integral on the right hand side of the two integration by parts formulas above are equal because they are both derived from xy,
Therefore the term xy in the formula of integration by parts is equal to the product of the upper limits of x and y minus the product of the lower limits of x and y. Geometrically, the relationship between the bounded area by horizontal summation and the bounded area by vertical summation is
According to the graph, the sum of bounded red area and bounded green area is equal to the rectangular area formed by the upper limits (12,f(12)) and the origin (0,0) minus the rectangular area formed by the lower limits (3,f(3)) and the origin (0,0). The bounded green area by horizontal summation is
The bounded red area by vertical summation is
And the area formed by the two rectangular areas is
Therefore the term xy in the formula of integration by parts can be considered as the net total area of the net area of vertical sum plus the net area of horizontal sum, imply.
©sideway ID: 111100004 Last Updated: 11/21/2011 Revision: 0 Ref: References
Latest Updated Links
Nu Html Checker 53 na |
![]() Home 5 Business Management HBR 3 Information Recreation Hobbies 9 Culture Chinese 1097 English 339 Travel 38 Reference 79 Hardware 55 Computer Hardware 259 Software Application 213 Digitization 37 Latex 52 Manim 205 KB 1 Numeric 19 Programming Web 289 Unicode 504 HTML 66 CSS 65 SVG 46 ASP.NET 270 OS 431 DeskTop 7 Python 72 Knowledge Mathematics Formulas 8 Set 1 Logic 1 Algebra 84 Number Theory 206 Trigonometry 31 Geometry 34 Calculus 67 Engineering Tables 8 Mechanical Rigid Bodies Statics 92 Dynamics 37 Fluid 5 Control Acoustics 19 Natural Sciences Matter 1 Electric 27 Biology 1 |
Copyright © 2000-2026 Sideway . All rights reserved Disclaimers last modified on 06 September 2019