
|
Draft for Information Only
Content
Pollard's p-1 Method
Pollard's p-1 MethodPollard's p-1 method is a prime factorization algorithm discovered by John Pollard in 1974. Limited by the algorithm, the Pollard's p-1 method is only work for integers with specific factors. However, since the composite number n is an unknown, sometimes, the algorithm may return a false response. Besides caused by finding all prime factors simulatanously due to a large B, the Polloard's p-1 method will also fail because of the pseudoprime like property. Characteristic of Pollard's p-1 Method by PowerSmooth NumberThe advantage of Pollard's p-1 method by powersmooth number is the checking of a group of primes with one computation. Every boundary B represents a group of numbers that can be expressed as the product of prime power factors less than and equal to number B. However, since the composite number n is an unknown, sometimes, the algorithm may return a false response. For example: Pollard's P-1 Methed by Smooth Number Example 4For example: n=533=p*q=13*41; let B=5 imply
Therefore for B=5, k5 or (p5-1)m5 is equal to 60. Fermat's Little Theoremlet a=2, by Fermat's little theorem, let p be one of the prime factors of n, imply p divides ak-1.
Greatest Common DivisorSince ak-1 is a very large number, before finding the greatest common divisor of n and ak-1, ak-1 can be raised to the high power modulo n. Imply Using squarings modulo
Imply
The algorithm returns a fail response, because the number n divides ak-1 and n is the greatest common divisor of n and ak-1. Imply
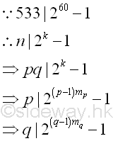
Therefore every prime factor of number n divides ak-1, imply
For this case, since k is not large enough to be the common multiple of p-1 and q-1, imply
Therefore, one way is to select another a so that ak-1 is not the common multiple of both p and q. Let a=3, and B=5 Imply
Therefore for B=5, k5 or (p5-1)m5 is equal to 60. Fermat's Little Theoremlet a=3, by Fermat's little theorem, let p be one of the prime factors of n, imply p divides ak-1.
Greatest Common DivisorSince ak-1 is a very large number, before finding the greatest common divisor of n and ak-1, ak-1 can be raised to the high power modulo n. Imply Using squarings modulo
Imply
The greatest common divisor of n and ak-1 is Using Euclid's algorithm
Imply
Integer 13, the greatest common divisor of n and ak-1 is also the prime divisor of n. And p-1 is 5-smooth. For a=2
Besides, for B=5; a=2 and a=3
©sideway ID: 120500012 Last Updated: 5/19/2012 Revision: 0 Latest Updated Links
Nu Html Checker 53 na |
![]() Home 5 Business Management HBR 3 Information Recreation Hobbies 9 Culture Chinese 1097 English 339 Travel 41 Reference 79 Hardware 55 Computer Hardware 260 Software Application 213 Digitization 37 Latex 52 Manim 205 KB 1 Numeric 19 Programming Web 289 Unicode 504 HTML 66 CSS 65 SVG 46 ASP.NET 270 OS 431 DeskTop 7 Python 72 Knowledge Mathematics Formulas 8 Set 1 Logic 1 Algebra 84 Number Theory 206 Trigonometry 31 Geometry 34 Calculus 67 Engineering Tables 8 Mechanical Rigid Bodies Statics 92 Dynamics 37 Fluid 5 Control Acoustics 19 Natural Sciences Matter 1 Electric 27 Biology 1 |
Copyright © 2000-2026 Sideway . All rights reserved Disclaimers last modified on 06 September 2019