
Draft for Information Only
Content
Limit
of a Function
Limit of a FunctionThe indexed term of a sequence or series can be considered as the functional value of a function of index n where n can only be positive integer. And the value of index n in the taking limit process for the indexed sequence or series can be any specified large quantity, i.e. n→∞. But for a functional value y=f(x) of a function of x, where x is usually a continuous variable of real number. Limit of Function of Continuous VariableIn general, the continuous variable x of a function f(x) can be any quantity on the number line. Therefore, the case of the limit of a function, similar to the limit of a sequence of series, is the concern of whether a function y=f(x) has a limit or not when the continuous variable x of the function f(x) increase infinitely, or decrease infiitely, or in both case, i.e. |x|→∞ because a function f(x) can be defined on an interval such that c<x<+∞, or -∞<x<c, or -∞<x<+∞. However the limit of the three cases can be treated similarly because the limit concerns only with the functional value itself not the independent continuous variable. For example, a function f(x) is defined on an interval c<x<+∞, or c>x>-∞, for any specified small quantity ε, there is a large quantity m of the independent continuous variable x, such that |f(m)-A|=ε, and if for all x where |x-m|>0 such that |f(x)-A|<ε, then f(x) has a limit A. Imply
For a function y=f(x), the event of x→∞ can always be represented by an infinite sequence no matter x tending to negative infinity or positive infinity. But for a function of continuous variable, there is infinite continuous functional values corresponding to the independent continous variable. Although infinite terms can be drawn according to the continuous variable to form an infinite sequence, e.g. x1, x2, ..., xi, ..., xn, ..., the formed infinite sequence does not have a limit because there is alway other x greater than the large quantity m to form other infinite sequence infinitely. e.g. x1', x2', ..., xi', ..., xn', .... In order to determine the limit of a function, an infinite sequence is constructed by the dependent continous variable, i.e. the infinite continuous functional values instead of constructing an infinite sequence from the independent continuous variable. That is an infinite continuous sequence f(xn), corresponding to the infinite continuous sequence xn, is used to determine whether the function f(x) approaching a limit or not. Since the independent continuous variable x is continuous, by specifying a small quantity ε, there is always a large quantity m such that |f(m)-A|=ε. If m is sufficiently large then for all x>m such that |f(x)-A|<ε and also valid for all other infinite continuous sequence f(xn'), imply f(x) has a limit A. For example:
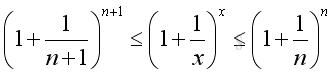
Another typical example of function of continuous variable is the mathematical constant e. The number e can be defined as the limit of:
For x tending to +∞, there always exists a pair of integers such that:
Imply:
Since the following limits exist and are equal to 1:
Imply:
And if limits exist when n tending to +∞, that is:
Therefore the limit when x tending to +∞ can be proved by the limit when integer n tending to +∞. And using Binomial Theorem to expand the terms in the bracket of the limit goes up to n, where n tending to +∞:
Therefore the limit when n tending to +∞ is:
The limit on the RHS when n tending to +∞ is:
The limit on the LHS when n tending to +∞ exists:
Therefore the limit of the series exists:
For x tending to -∞, let x=-y then:
As shown before, when y tending to +∞, imply:
Therefore, when x tending to ∞, imply:
Limit of ApproachingAnother case of the limit of a function is the case when an independent variable approaching a number. Unlike the infinite sequence with positive integer index, the functional value of a function can approach the limit continuously as the continuous independent variable tending to infinity continuously. Sometimes a function is also defined on a domain with infinitely continuous numbers in between, therefore the limit of a function does not always refer to the case of an independent variable tending to infinity, the limit of a function can also be the case when an independent variable approaching a number c. Since the numer c can be any number on the domain of x, if c is not the lower or upper limit, the independent variable x can approach from the upper side of the number c to the number c, i.e. x→c+0 or from the upper side of the number c to the number c, i.e. x→c-0. The event of independenct variable unlimited approaching to a number can also be expressed in terms of the closeness to or deviation from a number. In other words, when there is a function f(x) which is defined on the interval a<x<b, the number c of the independenc variable x can be any number on the interval a≤c≤b, then for any small quantity ε, there is a corresponding small quantity δ=|m-c|. such that |f(m)-A|=ε, If δ is sufficiently small, then for all x where |x-c|< δ such that |f(x)-A|<ε, imply f(x) has a limit A at c. Imply
Although the function f(x) is only defined on a<x<b, since the limit of the function at c is observed close to c only in the taking limit process, therefore it is not necessary to care whether the functional value of the function at c is defined or not as in a infinite sequence in taking the limit of a function. For example:
Sometimes the limit exist but the function is undefined at x=c. For example, (sin x)/x
According to the graph, consider the angle x in radian between 0 and π/2 when x approaching zero and not equal to zero, the relationship of the area of triangle with sin x, the area of circular sector with arc x, and the area of triangle with tan x are:
As x decrease, cos x will increase. (sin x)/x will increase also but less than 1. Imply as x approach +0, limit of (sin x)/x exists. Rearrange the inequality:
As x approach +0, i.e. δ>x>0 imply:
Similarly as x approach -0, imply:
Therefore:
Sometimes the limit does not exist because the two limits of a function tends to two different numbers when approaching a number from both sides. For example,
©sideway ID: 130100003 Last Updated: 1/25/2013 Revision: 0 Ref: References
Latest Updated Links
Nu Html Checker 53 na |
![]() Home 5 Business Management HBR 3 Information Recreation Hobbies 9 Culture Chinese 1097 English 339 Travel 41 Reference 79 Hardware 55 Computer Hardware 260 Software Application 213 Digitization 37 Latex 52 Manim 205 KB 1 Numeric 19 Programming Web 289 Unicode 504 HTML 66 CSS 65 SVG 46 ASP.NET 270 OS 431 DeskTop 7 Python 72 Knowledge Mathematics Formulas 8 Set 1 Logic 1 Algebra 84 Number Theory 206 Trigonometry 31 Geometry 34 Calculus 67 Engineering Tables 8 Mechanical Rigid Bodies Statics 92 Dynamics 37 Fluid 5 Control Acoustics 19 Natural Sciences Matter 1 Electric 27 Biology 1 |
Copyright © 2000-2026 Sideway . All rights reserved Disclaimers last modified on 06 September 2019