
|
Draft for Information Only
Content
Infinitely Many
Prime Numbers
Infinitely Many Prime Numbers"There exist infinitely many prime numbers" as there are infinitely natural numbers on the number line. Many supporting proofs can support the existence of infinitely prime numbers along the number line. Washington's Proof (1980)[1]Washington's method is via commutative algebra. Consider the field of all numbers with the form a+b√(-5) where a, b are rational numbers. Therefore the ring of algebraic integers in this field are numbers of the same form with a, b can only be ordinary integers only. In this ring, 2, 3, 1+√(-5), 1-√(-5) are prime elements bescause these numbers have no other algebraic integer prime factor besides the "unit" 1 or -1. 6 is a composite element in the ring of algebraic integers. And the number 6 can be decomposited into 2x 3 or (1+√(-5))(1-√(-5)). The product of primes of number 6 is not unique up to units, so this ring is not a unique factorization domain. Since the ring of algebraic integers in every number field of finite degree is a Dedekind domain, where every nonideal is the product of prime ideals in a unique way. And for a Dedekind domain with only finitely many prime ideals is a principal ideal domain, where every nonelement is the product of prime elements in a unique way and is up to units. Therefore this ring is not a principal ideal domain and there must have infinitely many prime ideals. And in every number field of finite degree, there are only finitely many prime ideals that divide any given prime number. The infinitely many prime ideals imply there exist infinitely many prime numbers.
Furstenberg's Proof (1955)[1]
Furstenberg's Method is based on ideas of topology. Considering the
set of integers Z={..., -3. -2, -1, 0, 1, 2, 3, ...}, let collection B of
subsets of Z be the evenly topological space of integer from -∞ to +∞ of using
arithmetic progressions, as a basis for a topology on Z such that every element
of Z is contained in at least one basic element. The family of sets
B(a,b)={an+b|n∈Z}=aZ+b with a and b are whole number and a not equal to 0, is
the set of integers Z. Let x∈Bi, if Bi⊂Z, then x∈Bi⊂Z. Therefore if x∈B1∩B2
for any two basis elements Bi, there exists a basis
element B3 such that x∈B3⊂B1∩B2. A
topology on the set Z with the collection B of subsets of Z have properties that
∅ and Z are in the collection B. The union set of the basis elements of any
finite subcollection of collection B is also in B and the intersection set of the basis
elements of any finite subcollection of B is also in B. Therefore, Z is a topological
space with collection B. Consider a subset S of Z, set S is an open set of Z if S belongs to the
collection B. In order words, the topological space is the set Z with a collection of
subsets S of Z. These subsets S of Z are called open sets because one subset S
belongs to the collection of all subsets S, for example ∅ and X are
both open and the union of arbitrary open sets and the intersection of finite open
sets are open also. Similarly to the topology of Z generated by collection B, a
subset S of Z is said to be an open set in Z, if for each x∈S, there is a
basis element Bi∈B such that x∈Bi and Bi⊂S.
Since a set
S is called closed if its complement is open. Therefore S is both closed and
open because its complement is the union of other subsets S. And imply the union
of any finite number of subsets S is closed. Therefore the topological space on
Z have properties that
∅ and Z are closed because they are the complements of the open sets Z and ∅.
The arbitary intersection set of the closed sets are closed and the finite unions
of closed sets are closed. Since
family of sets B(a,b) are basis sets and are equal to the compliement of the union
of other basis sets, that is B(a,b)=Z\∪a-1
Euclidean Sequences [1]Similar to the Euclid's method, equation can be constructed to generate an infinite prime number sequence. Some typical sequences are:
These sequences are not monotonic. These sequences do not contain all the primes and have been conjectured that infinitely many primes are excluded. For example, sequence of Ln is generated as
An infinite prime number sequence can also be generated from the sequence of known existing primes. Let pn be the nth of prime number, the product of the first n primes is called the primorial pn#. The two sequences are pn#+1 and pn#-1. Imply
Similary, there are infinitely many generated prime only or composite are still unknown.
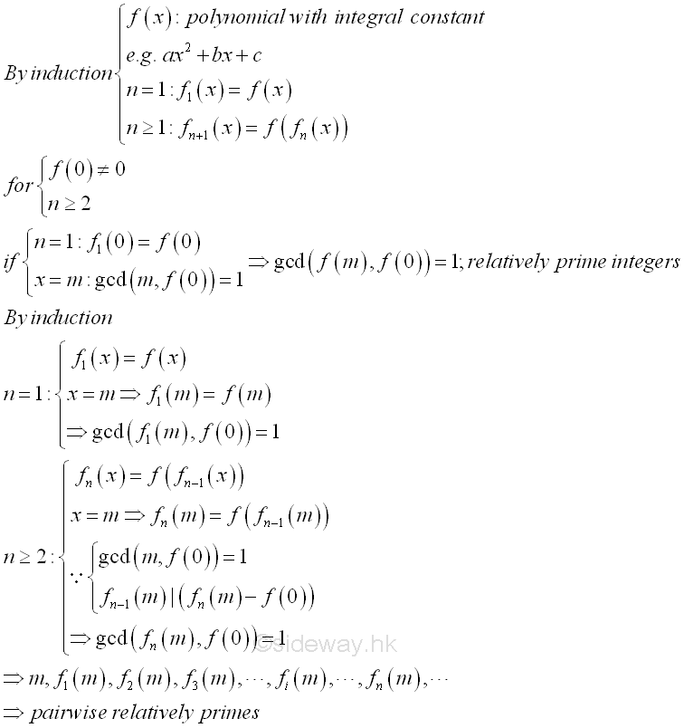
Pairwise Relatively Prime Sequences [1]Similar to Goldbach's method of using an infinitely Pairwise Relatively Prime Sequences, Bellman (1947) proposed an induction method to generate infinite sequences of pairwise relatively prime integers. By method of induction, consider a polynomial f(x) with integral coefficients. then let f1(x)=f(x) and define fn+1(x)=f(fn(x)) for n≥1. For f(0)≠0 and n≥2, if f1(0)=f(0) and gcd(m,f(0))=1 such that m and f(0) are relatively prime integers, imply f(m) and f(0) are also relatively prime integers gcd(f(m),f(0))=1. Therefore by induction, let f1(x)=f(x) and for n≥1, let fn+1(x)=f( fn(x)). If fn(0)=f(0) and gcd(m,f(0))=1 then integers m, f1(m), f2(m), f3(m), ..., fi(m), fn(m), ... are pairwise relatively primes.
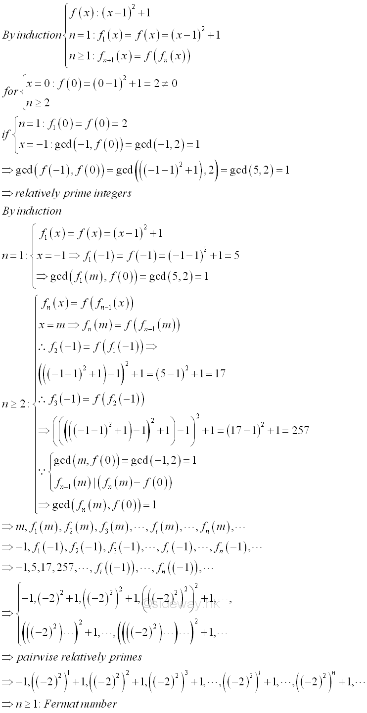
There are many particular cases of this theorem. For example, the Fermat number, Fn=22n+1 can be expressed as a polynomial f(x) with integral coefficients, f(x)=(x-1)2+1 with x equal to -1. Imply
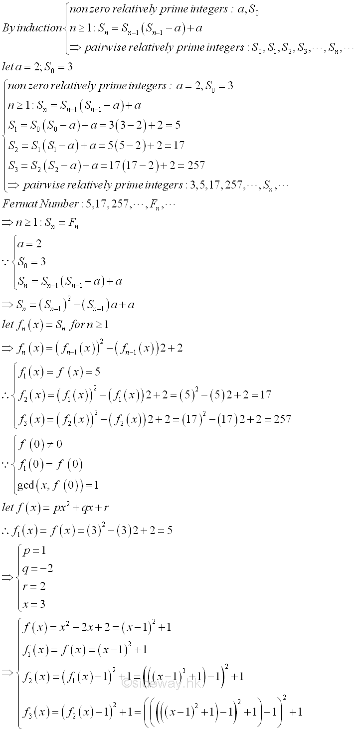
Another example is from Edwards (1964) (or Mohanty, 1978), Edwards proposed a sequence generated by a recursive polynomial formula. Let a, S0 be non zero relatively prime integers; for n≥1, Sn is equal to Sn-1(Sn-1-a)+a. Similarly, S0, S1, S2, S3, ..., Sn, ... are pairwise relatively prime integers. One particular case is when a=2, S0=3, the sequences are S0=3, S1=5, S2=17, S3=257, ..., Sn, ... These sequences are same as the Fermat number sequence where Sn=Fn. In fact, these sequences can alse be obtained using the Bellman's method. Let function fn(x) be Sn. The Edwards's polynomial, Sn=Sn-1(Sn-1-a)+a is same as the Bellman's polynomial fn+1(x)=(fn(x))2-a(fn(x))+a. implies
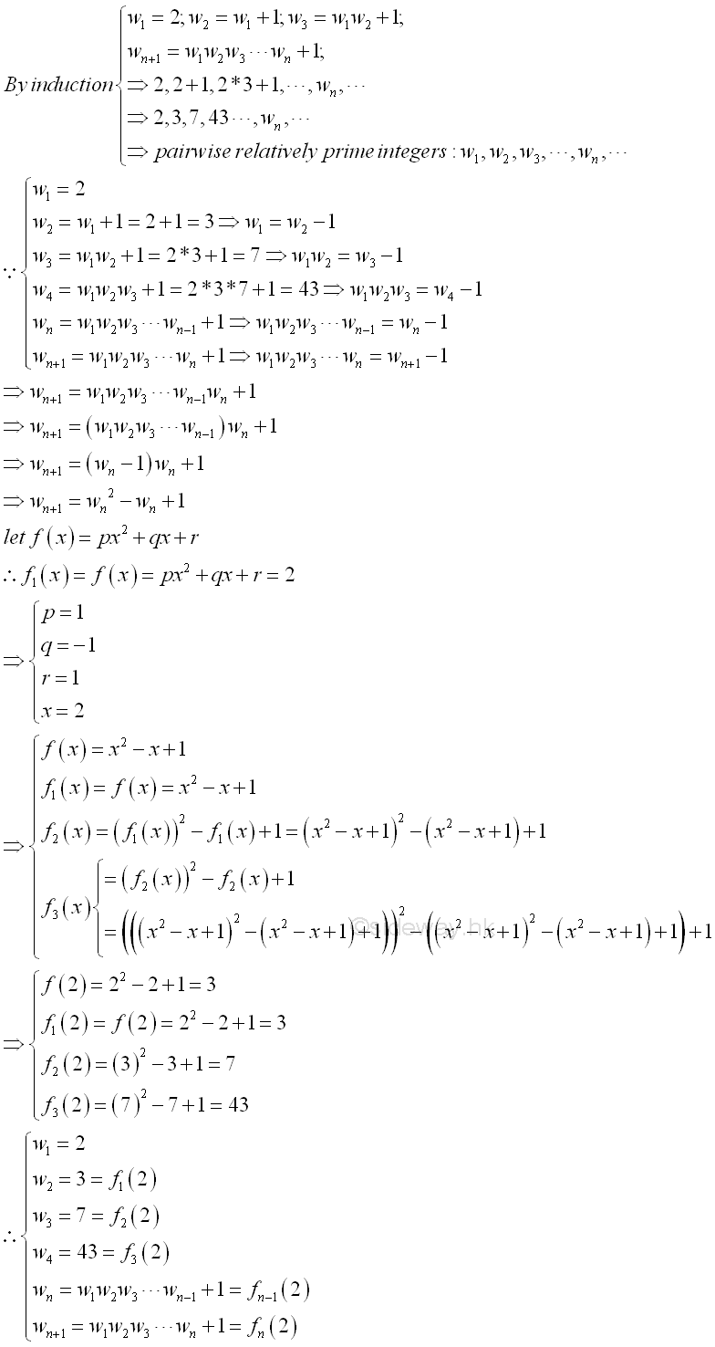
Consider another infinite pairwise relatively prime sequences. Let w1=2, w2=w1+1=3,
w3=w1w2+1=7,wn+1=∏n
©sideway ID: 130400009 Last Updated: 4/16/2013 Revision: 0 Ref: References
Latest Updated Links
Nu Html Checker 53 na |
![]() Home 5 Business Management HBR 3 Information Recreation Hobbies 9 Culture Chinese 1097 English 339 Travel 41 Reference 79 Hardware 55 Computer Hardware 260 Software Application 213 Digitization 37 Latex 52 Manim 205 KB 1 Numeric 19 Programming Web 289 Unicode 504 HTML 66 CSS 65 SVG 46 ASP.NET 270 OS 431 DeskTop 7 Python 72 Knowledge Mathematics Formulas 8 Set 1 Logic 1 Algebra 84 Number Theory 206 Trigonometry 31 Geometry 34 Calculus 67 Engineering Tables 8 Mechanical Rigid Bodies Statics 92 Dynamics 37 Fluid 5 Control Acoustics 19 Natural Sciences Matter 1 Electric 27 Biology 1 | ||||||||||||||||||||||||||||||||||||||||||||||||||||||||||||||||||||||||||||||||||||||||||||||||||||||||||||||||||||||||
Copyright © 2000-2026 Sideway . All rights reserved Disclaimers last modified on 06 September 2019