
TrigonometryMore Trigonometric Func.Elements of Trigonometry Law of SinesLaw of CosinesLaw of TangentsMollweide's EquationArea of TrianglesTrigonometric FormulasHalf Angle FormulasRadius of Circumcircle Draft for Information Only
Content Trigonometry
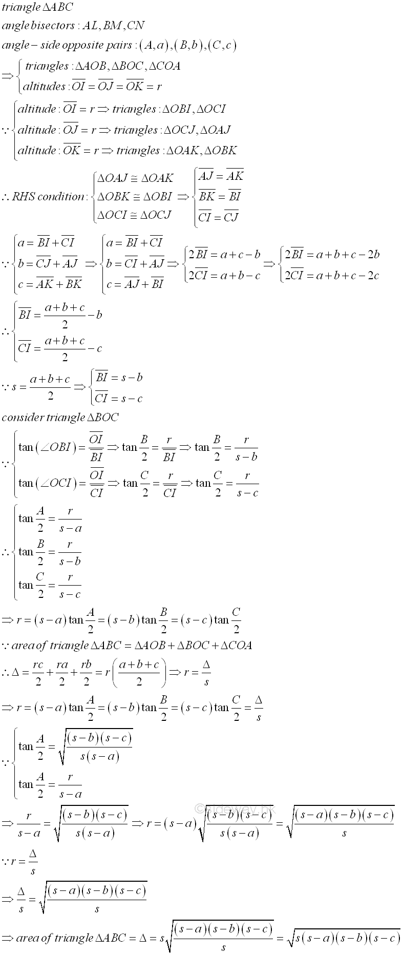
TrigonometryTrigonometric functions are related with the properties of triangles. Some laws and formulas are also derived to tackle the problems related to triangles, not just right-angled triangles. Radius of Incircle
Consider a circle incscrbed in a triangle ΔABC with centre O and radius r, the tangent function of one half of an angle of a triangle is equal to the ratio of the radius r over the sum of two sides adjacent to the angle. Since the incircle for the three different types of angled triangles can be constructed in similar way, the proofs for acute angled triangle with all the internal angles are less than π/2, the right angled triangle with one of the internal angles is equal to π/2, and the obtuse angled triangle with one of the internal angles is greater than π/2 but less than π are the same. For a circle incscrbed in a triangle ΔABC with centre O and radius r, three triangles, ΔAOB, ΔBOC, and ΔCOB, can be constructed by joining the vertices, A, B, and C to the intersection of the three angle bisectors of the triangle, O with the same altitude of r. Imply
Consider triangle ΔCOB, imply
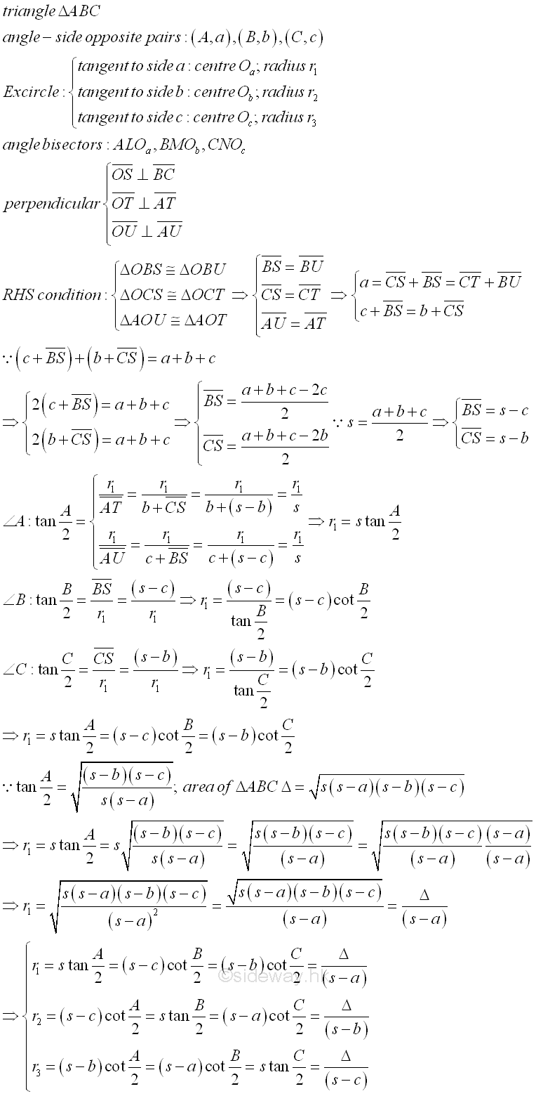
Radius of Excircle
Unlike incirlce of a triangle, an excircle is constructued outside the triangle with one side and two extended lines of the triangle are tangent to the circle. The tangent function of one half of an angle of a triangle is equal to the ratio of the radius r of the circle tangent to the side opposite over the sum of three sides. Since the excircle for the three different types of angled triangles can be constructed in similar way, the proofs for acute angled triangle with all the internal angles are less than π/2, the right angled triangle with one of the internal angles is equal to π/2, and the obtuse angled triangle with one of the internal angles is greater than π/2 but less than π are the same. But the excircle tangent to each side of the triangle may not be of the same radius, the three excircles are therefore of centres Oa, Ob, and Oc and with radius r1, r2, and r3. Besides each excircle can be expressed in terms of the three angles of the triangle separately. Imply
Consider excircle tangent side b, imply
©sideway ID: 130600034 Last Updated: 7/1/2013 Revision: 1 Ref: References
Latest Updated Links
Nu Html Checker 53 na |
![]() Home 5 Business Management HBR 3 Information Recreation Hobbies 9 Culture Chinese 1097 English 339 Travel 41 Reference 79 Hardware 55 Computer Hardware 260 Software Application 213 Digitization 37 Latex 52 Manim 205 KB 1 Numeric 19 Programming Web 289 Unicode 504 HTML 66 CSS 65 SVG 46 ASP.NET 270 OS 431 DeskTop 7 Python 72 Knowledge Mathematics Formulas 8 Set 1 Logic 1 Algebra 84 Number Theory 206 Trigonometry 31 Geometry 34 Calculus 67 Engineering Tables 8 Mechanical Rigid Bodies Statics 92 Dynamics 37 Fluid 5 Control Acoustics 19 Natural Sciences Matter 1 Electric 27 Biology 1 |
Copyright © 2000-2026 Sideway . All rights reserved Disclaimers last modified on 06 September 2019