
PolynomialTrigonometricExp() and Log()Inv TrigonometricHyperbolicInv HyperbolicImplicit EquationGeneral ResultSuccessive Differentiation Draft for Information Only
ContentParametric Equation
Parametric EquationSince a function f is defined as the one-to-one relationship between the input variable and the defined one-to-one permissible output variable, and therefore a function f can be expressed as y=f(x) where x is the input variable and y is the defined one-to-one permissible output variable. Or the inverse function 𝑔 can be expressed as x=𝑔(y) where y is the input variable and x is the defined one-to-one permissible output variable. Graphically, equations of these two forms of functions can be plotted as a curve on the Cartesian plane. However, not all curves or equations can be classified easily into these two forms of functions. For example, the motion of a particle moving on the xy plane can be described by a curve with coordinate (x,y) in the form of x=f(t) and y=𝑔(t) where t as the variable time is known as the parameter of the two equations. These two equations used as one set of equations to represent the curve is called the parametric equation of the curve or the parametric form of representation of a curve and the coordinate (x,y) is a function of one variable, t called parameter.
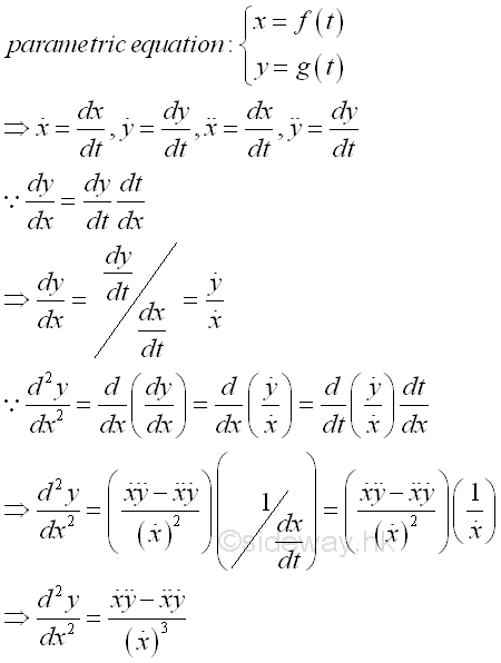
Derivative of Equation of Parametric formDot notation, or Newton's notation is usually adopted to denote the derivative of parametric equations. Imply
Derivative of Cartesian Equation from Parametric formIn order to obtain the derivative of the Cartesian form of a curve from the parametric equation, the parameter t should be eliminated from the parametric equations between the value of x and y of the curve. However the derivative of Cartesian equation from parametric form can also be obtained from the parametric equations by making use of the rule of function of a function. Imply
©sideway ID: 130700030 Last Updated: 7/16/2013 Revision: 0 Ref: References
Latest Updated Links
Nu Html Checker 53 na |
![]() Home 5 Business Management HBR 3 Information Recreation Hobbies 9 Culture Chinese 1097 English 339 Travel 41 Reference 79 Hardware 55 Computer Hardware 260 Software Application 213 Digitization 37 Latex 52 Manim 205 KB 1 Numeric 19 Programming Web 289 Unicode 504 HTML 66 CSS 65 SVG 46 ASP.NET 270 OS 431 DeskTop 7 Python 72 Knowledge Mathematics Formulas 8 Set 1 Logic 1 Algebra 84 Number Theory 206 Trigonometry 31 Geometry 34 Calculus 67 Engineering Tables 8 Mechanical Rigid Bodies Statics 92 Dynamics 37 Fluid 5 Control Acoustics 19 Natural Sciences Matter 1 Electric 27 Biology 1 |
Copyright © 2000-2026 Sideway . All rights reserved Disclaimers last modified on 06 September 2019