
|
Draft for Information Only
Content Equations of Kinematics
Equations of KinematicsFrom the definitions of position, displacement, velocity, and acceleration, there exists a set of relationships between these quantitise. For simple regular motions, there are some basic equations of kinematics to calculate the unknown quantity from the known quantity. Constant SituationsSimple motions with constant situations can be used to derive basic equations of 1D kinematics. Constant Position
An object does not have any motion when the object is maintained in constant position. Since the object does not move, the velocity of the object must be equal to zero. And since the velocity does not change, the acceleration must be equal to zero also.
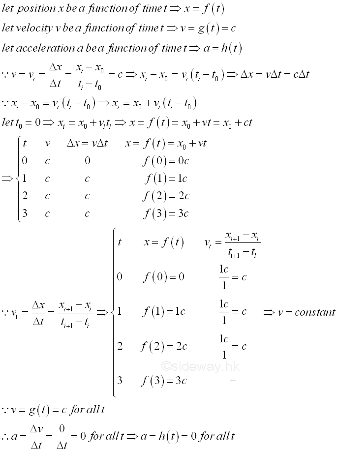
Constant Velocity
When an object is maintained in constant velocity, the object moves by the same distance in same direction during each equal time interval. As the object moving in constant velocity, the displacement between each interval is equal to a constant, the position of the object is changed in a regular manner and can be determined by the definition of velocity accordingly. Since the object moves constantly, the motion is called uniform motion and the acceleration is equal to zero.
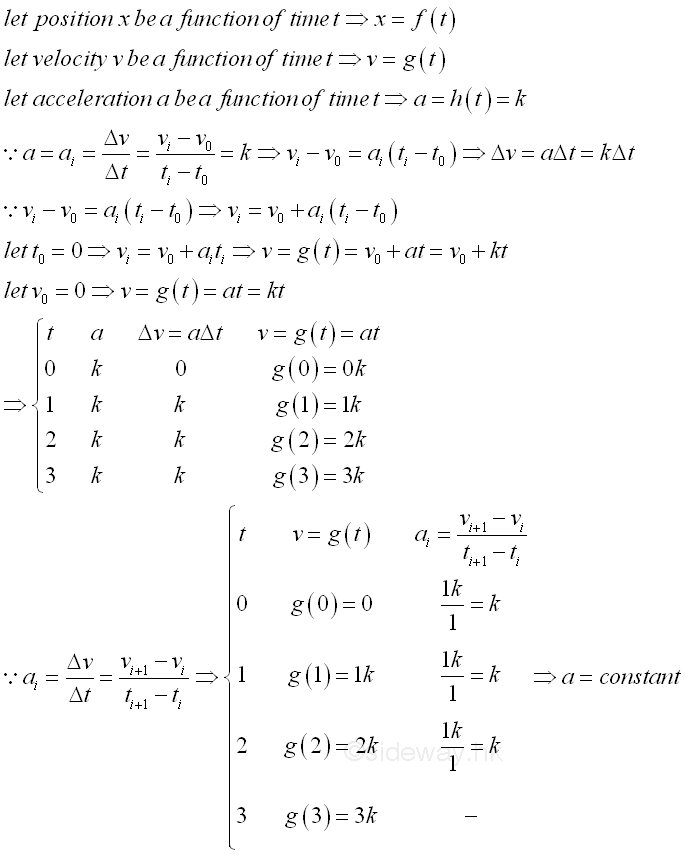
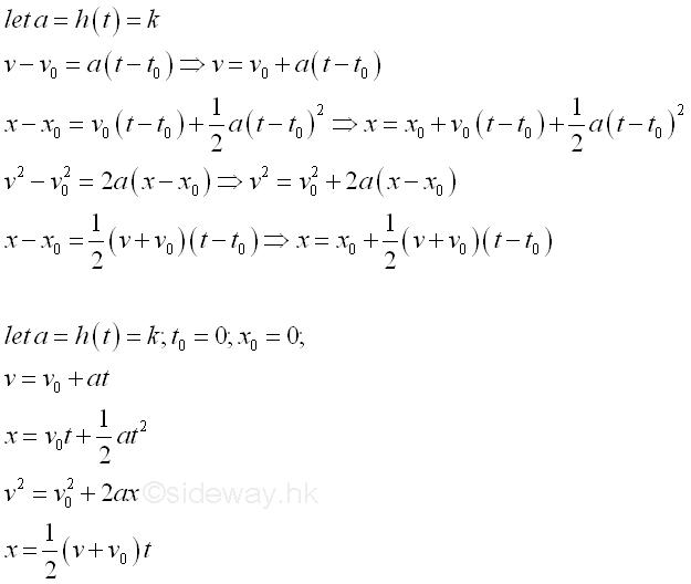
Constant Acceleration
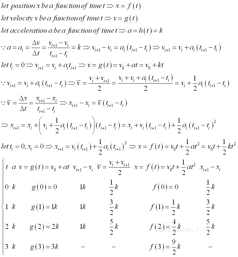
When an object is maintained in constant acceleration, the object changes the same amount of velocity in same direction during moving in each equal time interval. As the object moving in constant acceleration, the changes in velocity between each interval is equal to a constant, the velocity of the object is changed in a regular manner and can be determined by the definition of acceleration accordingly. Since the object accelerates constantly, the motion is called uniform acceleration motion and the acceleration is equal to a constant.
Under constant acceleration, the velocity of an object changes linearly with time. Since the velocity of the object varies with time, the object does not move the same distance during each equal time interval. Instead, the position of the object changes more rapidly as a function of time. Since the velocity of an object changes linearly with time, both the final velocity of the object in each time interval can be determined if the initial velocity of the object is known and the average velocity of an object in each time interval can then be obtained from the average of initial and final velocity also. And the displacement for each time interval can also be determined by the definition of average velocity accordingly.
If initial velocity of an object is equal to zero, then the displacement of the object is proportional to the sqaure of the time interval and is equal to at2/2. Equations of KinematicsFrom the constant situations, equations of kinematics are derived to calculate unkown quantity for the motion of an object with constant acceleration as following.
From the first two equations of kinematics, there is a common term (t-t0) that can be eliminated. Therefore another equation of kinematics can be derived.
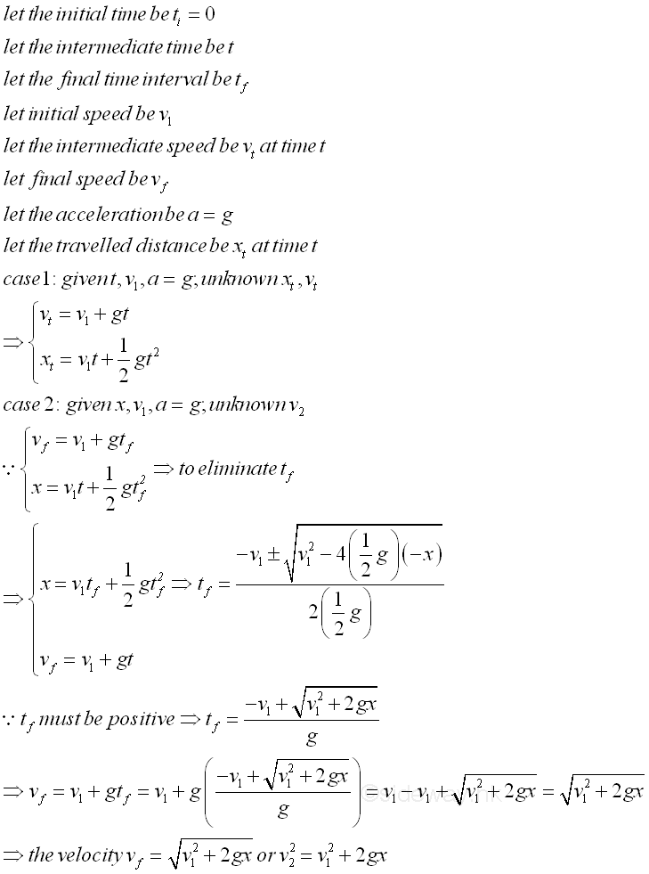
For the case of constant acceleration, the four equations of kinematics are.
ExamplesExample 1A car travels from position A to position B with a speed of v1m/s and then returns from position B to position A with a speed of v2m/s. The average speed for the whole journey is
Example 2A car travels from position A to position B with initial speed of v1m/s and the car has slowed to a speed of v2m/s after t seconds later. The travelled distance is
Example 3An object falls from a x m high cliff with initial speed v1m/s downward. Air resistance may be ignored, so the object is in free fall. What is the speed and distance travelled after t s? And what is the magnitude of the velocity of the object when touching the ground? For free fall, the acceleration can be assumed to be equal to g=9.8m/s2 downward.
©sideway ID: 140200007 Last Updated: 2/7/2014 Revision: 0 Ref: References
Latest Updated Links
Nu Html Checker 53 na |
![]() Home 5 Business Management HBR 3 Information Recreation Hobbies 9 Culture Chinese 1097 English 339 Travel 41 Reference 79 Hardware 55 Computer Hardware 260 Software Application 213 Digitization 37 Latex 52 Manim 205 KB 1 Numeric 19 Programming Web 289 Unicode 504 HTML 66 CSS 65 SVG 46 ASP.NET 270 OS 431 DeskTop 7 Python 72 Knowledge Mathematics Formulas 8 Set 1 Logic 1 Algebra 84 Number Theory 206 Trigonometry 31 Geometry 34 Calculus 67 Engineering Tables 8 Mechanical Rigid Bodies Statics 92 Dynamics 37 Fluid 5 Control Acoustics 19 Natural Sciences Matter 1 Electric 27 Biology 1 |
Copyright © 2000-2026 Sideway . All rights reserved Disclaimers last modified on 06 September 2019