
|
Draft for Information Only
Content Kinematics: Rate of Change of a Vector Function
Kinematics: Rate of Change of a Vector FunctionA vector function with a single variable, time t can be used to describe the motion of an object in 2 or 3 dimensional space. Because of the properties of the derivative of a vector function, rate of change of component functions of a motion along rectangular coordinate axes, x, y, z, can be determined accordingly. Vector Function of the Position Function of Motion
In kinematic 3D motion, the position P of an object can be expressed in term of a vector function which depends on a single parameter, time t, that is r=r(t). Since a vector function r=r(t) can be resolved into component functions along the rectangular coordinate axes x, y, z, the motion of the object can be described by the position function along the coordinate axes independently.
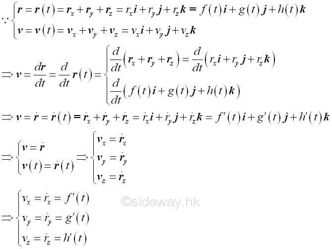
Vector Function of the Velocity Function of Motion
By definition, the rate of change of a vector function of the position function is equal to the velocity function of motion. From the properties of the derivative of vector function, The vector function of velocity functon of motion can be obtained by differentiating the vector function of the position function of motion and a single dot is used to indicate the first derivative of the position function. Imply
Vector Function of the Acceleration Function of Motion
By definition, the rate of change of a vector function of the velocity function is equal to the acceleration function of motion. From the properties of the derivative of vector function, The vector function of acceleration functon of motion can be obtained by differentiating the vector function of the velocity function of motion and a single dot is used to indicate the first derivative of the velocity function. Since a velocity function can be obtained from a position function, therefore a double dot is used to indicate the second derivative of the position function. Imply
Examples of 3D KinematicsA particle moves in 3D Cartesian coordinate system can be expressed in terms of the rectangular coordinates, x, y, and z, using the unit vectors, i, j, and k, which is similar to the moton of an particle moves in 2D Cartesian coordinate system. The motion of a particle can be described by a position vector, r with respect to time t, e.g. r(t)=(sin(t)+0.2)i+(cos(t/2)j-0.2)+tk. The motion of the particle is
©sideway ID: 140700001 Last Updated: 7/4/2014 Revision: 0 Ref: References
Latest Updated Links
Nu Html Checker 53 na |
![]() Home 5 Business Management HBR 3 Information Recreation Hobbies 9 Culture Chinese 1097 English 339 Travel 41 Reference 79 Hardware 55 Computer Hardware 260 Software Application 213 Digitization 37 Latex 52 Manim 205 KB 1 Numeric 19 Programming Web 289 Unicode 504 HTML 66 CSS 65 SVG 46 ASP.NET 270 OS 431 DeskTop 7 Python 72 Knowledge Mathematics Formulas 8 Set 1 Logic 1 Algebra 84 Number Theory 206 Trigonometry 31 Geometry 34 Calculus 67 Engineering Tables 8 Mechanical Rigid Bodies Statics 92 Dynamics 37 Fluid 5 Control Acoustics 19 Natural Sciences Matter 1 Electric 27 Biology 1 |
Copyright © 2000-2026 Sideway . All rights reserved Disclaimers last modified on 06 September 2019