
TOC Draft for Information Only
Forces in SpaceIn practical applications, forces are usually involved in three dimensional space. Forces in a plane is only a special three dimensional case with the third direction equals to zero. Force Decomposition A force can be represented by a force vector, F, in three dimensional space. The force can be regarded as a plane force by assuming a plane passing through the force vector and normal to coordinate plane zx. And therefore force, F can be decomposed into a force, Fy along y axis and a force, Fzx in plane zx. Similarly, force, Fzx in plane zx can further be decomposed into a force, Fx along x axis and a force, Fz along z axis.
Therefore force vector, F, in three dimensional space can be decomposed into Fx, Fy, and Fz. Applying the laws of trigonometric, the magnitude of the three rectangular force vector components are:
And the magnitude of force vector, F, can be obtained by applying the Pythagorean theorem, imply:
The resultant force vector, F, can be obtained by vector addition of the three rectangular force vector components by applying Parallelogram Law, imply:
Assuming three unit vectors, i, j, and k, with unit magnitude along the x, y, and z axis. then
Imply
The three rectangular force vector components of the resultant force vector, F, can be arranged in a box, imply:
Direction Cosines The direction of the force vector, F can be defined by the angles formed by the force vector and the three coordinate axes, θx, θy, and θz. Imply
The magnitude of the three rectangular force vector components can be defined as:
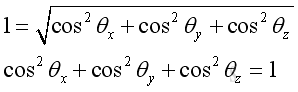
The cosine of θx, θy, and θz are known as the direction cosines of the force vector, F. And the force vector becomes two dimensional force when one of the direction cosines equal to zero, that is angle equals 90 degree. The magnitude of force vector, F can therefore be expressed in terms of direction cosines as following:
Imply the sum of the squares of direction consines equals to 1, that is:
And the values of direction consines or the angles are not independent. The force vector, F can also be expressed in terms of unit coordinate vectors and direction cosines as following:
The format of the force vector expression can be treated as the product of the force magnitude and the unit direction vector. Let λ be the unit direction vector. Then
Similarly, the unit direction vector can also decomposed to three rectangular vectors:
The magnitude of the unit direction vector equals to one because:
The relationship of force vectors and unit vectors is:
Laws of Trigonometric Relations The direction of a force in space along the line of action can also be respresented by a relative position vector, d.
Similar to the force vector, F, the relative position vector, d can be expressed as:
Applying the laws of trigonometric relations, imply:
And:
©sideway ID: 110400005 Last Updated: 6/23/2013 Revision: 1 Ref: References
Latest Updated Links
Nu Html Checker 53 na |
![]() Home 5 Business Management HBR 3 Information Recreation Hobbies 9 Culture Chinese 1097 English 339 Travel 41 Reference 79 Hardware 55 Computer Hardware 260 Software Application 213 Digitization 37 Latex 52 Manim 205 KB 1 Numeric 19 Programming Web 289 Unicode 504 HTML 66 CSS 65 SVG 46 ASP.NET 270 OS 431 DeskTop 7 Python 72 Knowledge Mathematics Formulas 8 Set 1 Logic 1 Algebra 84 Number Theory 206 Trigonometry 31 Geometry 34 Calculus 67 Engineering Tables 8 Mechanical Rigid Bodies Statics 92 Dynamics 37 Fluid 5 Control Acoustics 19 Natural Sciences Matter 1 Electric 27 Biology 1 |
Copyright © 2000-2026 Sideway . All rights reserved Disclaimers last modified on 06 September 2019