
TOCForceMomentCoupleSystem of ForcesStatic EquilibriumStructure AnalysisDistributed ForceFriction Force Draft for Information Only
Content
Internal Forces
Internal ForcesWhen an rigid body is in static equilibrium, the external forces acting on the rigid body is in equilibrium also. And the members of a static equilibrium structure is in static equilibrium also. When a member is in static equilibrium, the internal forces in the member tending to resist those external forces should be in equilibrium also. The external forces exert either tension or compression forces on the straight two-force truss member of a truss. There is no moment acting on the member because the line of force acts along the axis of the structure member. The only possible internal forces to react and hold the memeber structure in equilibrium is tension or compression forces also. But when the external forces exert either tension or compression forces on the multiforce truss member of a frame or machine structure, there may have moment acting on the member because the line of force does not alway act along the axis of the structure member or the axis of the sturcture member is not a straight line. These external force usually produce shear forces and bending moments on the structure member and therefore the internal forces to react and hold the member structure in equilbrium is tension or compression forces and together with shear and bending as well. Internal Forces in MembersStraight Two-force MemberFor a straight two-force member, the two external forces at the two end of a truss member should be equal in magnitude and line of action but opposite in sense when the truss member is in equilibrium. The internal forces in truss member can be determined by assuming the member is being cut by an imaginary section plane. For example a straight two-force member in tension
Since the truss member is in equilibrium, tension force F at point A and tension force F' at point B should be equal in magnitude but opposite in sense. For a truss member in equilibrium, the internal forces at the imaginary section plane C should also be in equilibrium. Therefore, the truss member AB can be considered as two separated equilibrium free body models, member section AC and member section CB. Imply
Since the two seperated equilibrium free body models, member section AC and member section CB are in equilibrium, the internal forces reacts by the imaginary section plane C on member section AC and member section CB must equal to external forces on each member. Therefore a force F' which equivalent to the internal force and is equal and opposite to force F should be applied to member section AC at C. And a force F which equivalent to the internal force and is equal and opposite to force F' should be applied to member section CB at C. The internal forces on the two seperated member sections AC and CB should alway exert on each other in truss member AB and are equal in magnitude but opposite in sense. For the straight two-force member, the internal forces are only axial forces along the axis of the straight two-force member, the location of the imaginary section plane C does not affect the magnitude of the internal forces in member AB. When the straight two-force member in compression
The internal forces can be determined in similar way.
Multi-force MemberFor a multi-force member, the external forces acting on the frame member should be equilibrium when the frame member is in equilibrium. The internal forces in frame member can be determined by assuming the member is being cut by an imaginary section plane. For example
Forces are in equilibrium, imply
Since the frame member is in equilibrium, The sum of external forces applied to point B and point C should be equal in magnitude but opposite in sense to the external force F at point A. For a frame member in equilibrium, the internal forces at the imaginary section plane C should also be in equilibrium. Therefore, the frame member AB can be considered as two separated equilibrium free body models, member section AC and member section CB. Imply
Since the two seperated equilibrium free bodies, member section AC and member section CB are in equilibrium, the internal forces reacts by the imaginary section plane C on member section AC and member section CB must equal to external forces on each member. Therefore a system of forces which equivalent to the internal force and is equal and opposite to force FA should be applied to member section AC at C. And a system of forces which equivalent to the internal force and is equal and opposite to the sum of force FB and FD should be applied to member section CB at C. The internal forces on the two seperated member sections AC and CB should alway exert on each other in truss member AB and are equal in magnitude but opposite in sense. For the straight multi-force member, the internal forces are a system of forces and moment which can be transformed to a force-couple system along the axis of the straight multi-force member, the location of the imaginary section plane C will affect the magnitude of the force-couple system of the internal forces in member AB because the resultant force of the internal forces is affected by the location of application of the external forces and the resultant moment of the internal forces is also affected by the location of interest at which moment of the external forces acting on. Consider the member section AC of length LAC, the internal forces at point C are
Consider another member section AE of length LAE,
Since the internal forces at the imaginary section plane E should be in equilibrium, the internal forces at point E can also be determined using the member section EB of length LEB, Imply
Therefore the internal forces at point E is not the same the internal forces at point C . Two-force Frame MemberFor a two-force frame member, although the external forces acting on the frame member should be equilibrium when the frame member is in equilibrium, the internal forces in the two-force frame member also varies with the location of the point of interest if the two-force frame member is not a straight member. The internal force of the two-force frame member can also be determined by assuming the member is being cut by an imaginary section plane. For example
Since the frame member is in equilibrium, tension force F at point A and tension force F' at point B should be equal in magnitude but opposite in sense. For a frame member in equilibrium, the internal forces at the imaginary section plane C should also be in equilibrium. Therefore, the frame member ADB can be considered as two separated equilibrium free body models, member section AC and member section CDB. Imply
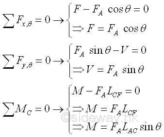
Since the two seperated equilibrium free bodies, member section AC and member section CDB are in equilibrium, the internal forces reacts by the imaginary section plane C on member section AC and member section CDB must equal to external forces on each member. Therefore a system of forces which equivalent to the internal force and is equal and opposite to the system of forces due to force FA should be applied to member section AC at C. And a system of forces which equivalent to the internal force and is equal and opposite to the system of forces due to force FB should be applied to member section CB at C. The internal forces on the two seperated member sections AC and CDB should alway exert on each other in frame member AB and are equal in magnitude but opposite in sense. For the two-force frame member, the internal forces are a system of forces and moment which can be transformed to a force-couple system along the axis of the two-force frame member, the location of the imaginary section plane C will affect the magnitude of the force-couple system of the internal forces in member AB because the resultant moment of the internal forces is affected by the location of interest at which moment of the external forces acting on and the resultant force of the internal forces is also affected by the relative position of application of the external forces. Consider the frame member section AC of length LAC, the internal forces at point C are
Therefore the internal forces of the frame member section AC varies with the position of interest in the frame member AB. ©sideway ID: 120800020 Last Updated: 8/22/2012 Revision: 0 Ref: References
Latest Updated Links
Nu Html Checker 53 na |
![]() Home 5 Business Management HBR 3 Information Recreation Hobbies 9 Culture Chinese 1097 English 339 Travel 41 Reference 79 Hardware 55 Computer Hardware 260 Software Application 213 Digitization 37 Latex 52 Manim 205 KB 1 Numeric 19 Programming Web 289 Unicode 504 HTML 66 CSS 65 SVG 46 ASP.NET 270 OS 431 DeskTop 7 Python 72 Knowledge Mathematics Formulas 8 Set 1 Logic 1 Algebra 84 Number Theory 206 Trigonometry 31 Geometry 34 Calculus 67 Engineering Tables 8 Mechanical Rigid Bodies Statics 92 Dynamics 37 Fluid 5 Control Acoustics 19 Natural Sciences Matter 1 Electric 27 Biology 1 |
Copyright © 2000-2026 Sideway . All rights reserved Disclaimers last modified on 06 September 2019