
TOCForceMomentCoupleSystem of ForcesStatic EquilibriumStructure AnalysisDistributed ForceFriction Force Draft for Information Only
Content
Internal Force in Cable
Internal Force in CableCable is flexable structure member used in structure for supporting transverse loads by the axial tension in cable. Although cable can be used to support concentrated load and distributed load, cable is normally used to carry distributed transverse loads, e.g. cable-stayed bridge. Cable with Discrete Concentrated LoadsCable is under discreter concentrated load when discrete loads are attached to the cable. By assuming the cable is inextensible and flexible, and the weight of the cable is negligble compared with the carried concentrated transverse load, cable segment between two successive concentrated loads can be considered as a two-force member similar to a truss member, but the internal force in a cable can only be tensile force along the cable. Consider a cable AB with concentrated loads, C1, C2, and C3, the free body diagram is
Equilibrium equations written from the free body diagram are.
Since a cable structure is not a rigid body, the equilibrium equations are not sufficient for the determination of the four unknowns. However the shape of the cable can be stabilized by additional constraints, e.g. the cable is fixed at both ends and the location of load are fixed also. In general, the vertical load is balanced by the vertical components in cable segments, while the horizontal components in cable segments on the twe sides of the load are the additional constraints to stabled the location of the load. Therefore, when the cable structure is in equilibrium, more independent equilibrium equations can be derived from the loading points. For example, six independent equilibrium equations can be written from the three loading points, C1, C2, and C3, so two more unknowns, e.g. y1, and y2, can be determined beside the four unknown reactions on the supports. In other words, more information, e.g. the horizontal location of loading points, and the location of loading point C2 etc, is known Since the cable structure is in equilibrium, two individual free body diagrams for the cable structure can be drawn by considering the whole cable is formed by two distinct rigid cable segments. Consider the free body diagram of the cable segment with A, C1, and C2 only,
One more independent equilibrium equations can be written from the free body diagram by taking moment about C1,
Therefore the four unknown Ax, Ay, Bx and By are
Magnitude of Tensions in cable segments AC1, and C3B are equal to the reaction force of supports A and B. Imply
Because the tension in cable is always align with the axis of the cable, the height of loading points C1, and C3 can be determined by the slope of reaction force of supports A and B accordingly. Imply
Cable with Vertical Distributed LoadsThe cable is under vertical distributed loading, when an infinite number of concentrated loads are distributed along the cable. For example, the cable carries a vertical distributed load over the span L of the cable AB.
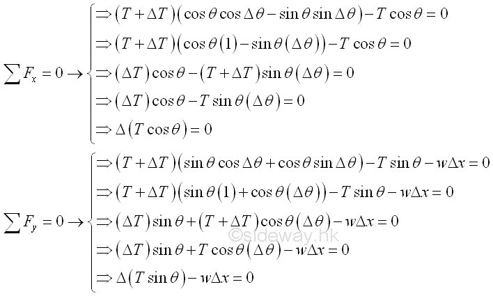
Consider a free body diagram of an infinitesimal cable element AB of length Gx under the vertical distributed load with vertical distributed load intensity w(x) per unit horizontal length. Assuming the tension difference between the ends of the infinitesimal cable element is ΔT. Assuming the vertical distributed load difference between the ends of the infinitesimal beam element is ΔW. Assuming the angle of tension difference between the ends of the infinitesimal beam element is Δθ. Imply
For an infinitesimal beam element, the vertical distributed load intensity over the the element can be considered as an uniformly distributed load over the element. Equilibrium equations written from the free body diagram are.
As Δx approaching zero, the equilibrium equations are approximately equals to.
From the derived equation, the differential change of the horizontal component of the tension in the cable is zero, the horizontal component of the tension is a constant in the cable and therefore the vertical loads are carried by the vertical component of the tension only. Assume the horizontal component of the tension is equal to constant To. Both the tension T and angle θ are functions of x, since -1≤cosθ≤1 and the horizontal component of the tension in cable is a constant, the minimum tension, T is equal to To at the point where θ equals to zero. Imply
And when expressing the differential change of the vertical component of the tension in the cable in term of the constant horizontal component of tension To , since the tension in cable aligns with the axis of the cable, the differential change of angle θ.can also be expressed as the slope of tension in the cable. Imply
By taking the limit as the horizontal length Δx approaches zero. Imply
Therefore the shape of cable carrying a vertical distributed load can be determined by the governing differential equation about with the boundary conditions at the fixed ends of the cable. And the function of the shape of the cable is equal to y=f(x). Similarly, the length of the cable can also be determined by
Parabolic Cable with Vertical Uniformly Distributed LoadsThe cable is under vertical uniformly distributed loading, when a vertical load carried by the cable are evenly shared by a finite number of vertical concentrated supports along the horizonal distance of the cable. For example, the cable carries a vertical load distributed over the span L of the cable AB of same elevations with constant intensity w along the horizontal distance. Although the weight of the cable is not uniformly distributed along the horizontal distance because of the shape of the cable, the weight of the cable is usually much smaller than the carried load, and therefore the vertical loads acting on the cable can be assumed to be vertical uniformly distributed loads along the horizontal distance of the cable. The free body diagram of the cable with sag h is
According to the derived differential equation of cable with carried distributed load, the shape of the cable is depending on the horizontal intensity function w of the vertical load distributed. In other words, when an uniformly distributed load is assumed, the shape of the cable can also be determined by the differential equation of cable. Imply
Therefore, the shape of the cable carrying uniformly distributed load along the horizontal distance is a vertical parabola. Considering the free body diagram of the cable segment CD,
The equilibrium equation written from the free body diagram of the cable segment CD are,
From the moment equilibrium equation, since the boundary conditions of cable AB, at x=±L/2, y=h, imply
From the force equilibrium equations, since the three force vectors acting on the cable segment CD form a right angle triangle. imply
And the length of the cable AB can be determined by the curve length equation. imply
Since the value h/L is usually smaller than one, the series converges. If h is much smaller than L, the sum of series can be approximated by the first few terms of the series. Besides, if the cable is of different elevations, some of the described relations can only be applied to one side of the lowest point of the cable, and the other side of the cable should be determined separately according to the boundary conditions. Catenary Cable with Uniformly Distributed Axial LoadsThe cable is under uniformly distributed axial loading, when a vertical load carried by the cable are evenly distributed with a constant intensity along the axis of the cable itself. For example, the cable carries a vertical load distributed over the span L of the cable AB of same elevations with constant intensity ϒ along the axis of the cable itself. The load intensity ϒ is therefore equal to the load per unit length along the cable. And therefore when a cable carrying its own weight only, the weight of the cable is not uniformly distributed along the horizontal distance, as vertical distributed load is one of the variable in the governing differential equation of the cable, the shape of the cable will also be changed accordingly. The free body diagram of the cable with sag h is
Consider a free body diagram of an infinitesimal cable element AB of length Gx under the vertical distributed load with uniform distributed load intensity ϒ per unit length of the cable itself. Assuming the tension difference between the ends of the infinitesimal cable element is ΔT. Assuming the vertical distributed load difference between the ends of the infinitesimal beam element is ΔW. Assuming the angle of tension difference between the ends of the infinitesimal beam element is Δθ. Imply
And the equilibrium equation written from the free body diagram of the infinitesimal beam element are
Therefore,
Similarly, by taking the limit as the horizontal length Δx approaches zero. Imply
Since the vertical distributed load is with uniform distributed load intensity ϒ along the cable per unit length of the cable itself, the vertical distributed load w per unit horizontal distance is a function x also. Imply
Therefore the governing differential equation of the cable can be expressed as
Considering the free body diagram of the cable segment CD,
The shape of the cable can be determined by integrating from point C to point D of the cable segment, Imply
Therefore, the shape of the cable carrying uniformly distributed load along the cable, e.g. its own weight, is a vertical hyperbolic cosine curve with a distance c shifted downward. The cable is commonly called a catenary. The equation of the catenary can be reduced by setting the lowest point C of the cable segment CD to the constant c, and this non-zero lowest point C is then called the parameter of the catenary. Imply
And the equilibrium equation written from the free body diagram of the cable segment CD are,
From the force equilibrium equations, since the three force vectors acting on the cable segment CD form a right angle triangle. imply
Since the three force vectors acting on the cable segment CD form a right angle triangle. Imply
And the relation of length s of the cable and the horizontal distance x of cable segment CD can also be determined by
The relation between y and s is
The relations between forces and the vertical load intensity along the cable are
Similarly, if the cable is of different elevations, some of the described relations can only be applied to one side of the lowest point of the cable, and the other side of the cable should be determined separately according to the boundary conditions. The relation between vertical distance and sag h is
©sideway ID: 120900011 Last Updated: 10/4/2012 Revision: 0 Ref: References
Latest Updated Links
Nu Html Checker 53 na |
![]() Home 5 Business Management HBR 3 Information Recreation Hobbies 9 Culture Chinese 1097 English 339 Travel 41 Reference 79 Hardware 55 Computer Hardware 260 Software Application 213 Digitization 37 Latex 52 Manim 205 KB 1 Numeric 19 Programming Web 289 Unicode 504 HTML 66 CSS 65 SVG 46 ASP.NET 270 OS 431 DeskTop 7 Python 72 Knowledge Mathematics Formulas 8 Set 1 Logic 1 Algebra 84 Number Theory 206 Trigonometry 31 Geometry 34 Calculus 67 Engineering Tables 8 Mechanical Rigid Bodies Statics 92 Dynamics 37 Fluid 5 Control Acoustics 19 Natural Sciences Matter 1 Electric 27 Biology 1 |
Copyright © 2000-2026 Sideway . All rights reserved Disclaimers last modified on 06 September 2019