
Draft for Information Only
ContentLinear Approximation Ratio
Linear Approximation RatioThe previous interpretations of a derivative focuses on the position of a point by taking the limit approaching zero. In other words, the derivative of a function at a point is the most accurate approximation to the rate of change of the function at the point. Therefore the derivative of a point can be used as the linear approximation ratio or the slope of a linear function to approximate the change in a function near the point of differentiation. The accuracy of linear approximation is high when the distance away from the derivative of a point is small, i.e. δε>Δε>0
Approximation CalculationIn some practical applications, problems may be finding the change or the solutions can be approximated by a small change of the known result.
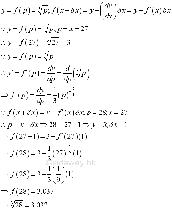
Function Approximation ProblemThe value of a function of a variable can be approximated by a function of known parameter value when the difference between the variable and parameter is small. For example, cubic root of 28. Let function y be cubic function of a variable p. A known parameter of function is 27 and the knwon solution is 3. Therefore the solution of cubic root is 3.0366 and the approximation is:
Error Estimation ProblemMeasuring error is the variation in mesurements. Error is the difference between the measured value and the true value of the meausred object. The result of measuring error can be estimated by derivative. For example, the maximum error of measuring the surfare area of a circular plate, when the measured diameter is 10 and the maximum meausring error is 0.1 is,
Change Determination ProblemIn others word, the approximation determined by derivative can be the final change or the change. Therefore the derivative can also be used to estimate the initial value by determinating the change. For example, square of 24.9. Let function y be square function of a variable p. A known parameter of function is 25 and the knwon solution is 625. Therefore the solution of square of 24.9 is 620.01 and the approximation is:
©sideway ID: 111000013 Last Updated: 10/16/2011 Revision: 0 Ref: References
Latest Updated Links
Nu Html Checker 53 na |
![]() Home 5 Business Management HBR 3 Information Recreation Hobbies 9 Culture Chinese 1097 English 339 Travel 41 Reference 79 Hardware 55 Computer Hardware 260 Software Application 213 Digitization 37 Latex 52 Manim 205 KB 1 Numeric 19 Programming Web 289 Unicode 504 HTML 66 CSS 65 SVG 46 ASP.NET 270 OS 431 DeskTop 7 Python 72 Knowledge Mathematics Formulas 8 Set 1 Logic 1 Algebra 84 Number Theory 206 Trigonometry 31 Geometry 34 Calculus 67 Engineering Tables 8 Mechanical Rigid Bodies Statics 92 Dynamics 37 Fluid 5 Control Acoustics 19 Natural Sciences Matter 1 Electric 27 Biology 1 |
Copyright © 2000-2026 Sideway . All rights reserved Disclaimers last modified on 06 September 2019