
Draft for Information Only
ContentCurvature
CurvatureOne of the typical application of derivative is curvature. By definition, the simplest form of curvature k at a given point on a curve is the rate of change of the tangential angle ΔΨ between tangents with respect to the arc length Δs.
CurvatureMathematically:
Assume the radius of circle at the given point is r. Geometrically:
This implies the curvature of a curve at a given point equal to 1/radius. The radius is an intantaneous radius of the curve at the given point. If the curve is a circle, the curvature at all point is the same and is equal to 1/radius of the circle. Radius of CurvatureTherefore, a circle of the same curvature can be constructed at any point along the curve and this circle is known as the circle of curvature of the curve at the given point. The radius of the circle at the given point is always normal to the curve. This radius is called the radius of curvature of the curve at the given point and is denoted by ρ. Imply
Since both Gs and GZ are functions of x and as Gx approaching 0, both Gs and GZ approaching 0 also, imply the radius of curvature can be expressed as,
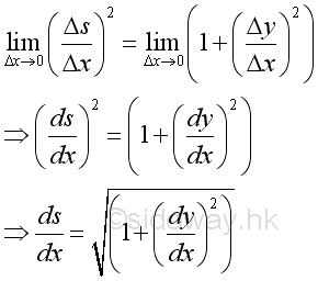
For the arc of ΔΨ ,as Δx approaching 0, arc of ΔΨ can be approximated by chord of ΔΨ , Applying Pythagorean theorem, imply
As Δx approaching 0, take limit.
For the angle ΔΨ, the angle can be expressed as the slope of the given point at (x,y), tan Ψ and is equal to the derivative, dy/dx of the function at the given point, imply:
Differentiating the equation with respect to x to get the dΨ/dx, imply
Therefore the radius of curvature in terms of x and y is
And the curvature in terms of x and y is
©sideway ID: 111000015 Last Updated: 3/14/2014 Revision: 1 Ref: References
Latest Updated Links
Nu Html Checker 53 na |
![]() Home 5 Business Management HBR 3 Information Recreation Hobbies 9 Culture Chinese 1097 English 339 Travel 41 Reference 79 Hardware 55 Computer Hardware 260 Software Application 213 Digitization 37 Latex 52 Manim 205 KB 1 Numeric 19 Programming Web 289 Unicode 504 HTML 66 CSS 65 SVG 46 ASP.NET 270 OS 431 DeskTop 7 Python 72 Knowledge Mathematics Formulas 8 Set 1 Logic 1 Algebra 84 Number Theory 206 Trigonometry 31 Geometry 34 Calculus 67 Engineering Tables 8 Mechanical Rigid Bodies Statics 92 Dynamics 37 Fluid 5 Control Acoustics 19 Natural Sciences Matter 1 Electric 27 Biology 1 |
Copyright © 2000-2026 Sideway . All rights reserved Disclaimers last modified on 06 September 2019