
Draft for Information Only
Content
Summation of Accumulative Physical Quantity
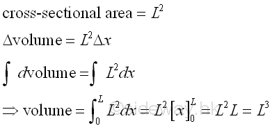
Summation of Accumulative Physical QuantityVolumes of common solid can be determined by integration when the volume of a solid is expressed as an infinitesimal volume element that can be summed by the application of integration.
The infinitesimal volume element can be formed by the extrusion of a filled profile or the revolution of a profile. Volumes of Common Solids
©sideway ID: 111100015 Last Updated: 12/4/2011 Revision: 1 Ref: References
Latest Updated Links
Nu Html Checker 53 na |
![]() Home 5 Business Management HBR 3 Information Recreation Hobbies 9 Culture Chinese 1097 English 339 Travel 41 Reference 79 Hardware 55 Computer Hardware 260 Software Application 213 Digitization 37 Latex 52 Manim 205 KB 1 Numeric 19 Programming Web 289 Unicode 504 HTML 66 CSS 65 SVG 46 ASP.NET 270 OS 431 DeskTop 7 Python 72 Knowledge Mathematics Formulas 8 Set 1 Logic 1 Algebra 84 Number Theory 206 Trigonometry 31 Geometry 34 Calculus 67 Engineering Tables 8 Mechanical Rigid Bodies Statics 92 Dynamics 37 Fluid 5 Control Acoustics 19 Natural Sciences Matter 1 Electric 27 Biology 1 |
Copyright © 2000-2026 Sideway . All rights reserved Disclaimers last modified on 06 September 2019