
TOCForceMomentCoupleSystem of ForcesStatic EquilibriumStructure AnalysisDistributed Force Draft for Information Only
Content
Applications of
Friction Forces
Applications of Friction ForcesFrictional forces are also found in many common practical tools and machines with rotating members. Journal BearingsThere are lateral supports for every rotating members in tools and machines. Journal bearings are usually used for providing lateral support to rotating shafts and axles. If there is no lubrication between the rotating axle and the bearing, the axle friction is the dry friction between two contact surfaces only. For example, a wheel of 2W is rigidly mounted on an axle which is supported by two jounal bearings mounted symmetrically on both sides. As a result, the loading acting on one journal bearing is equal to W.
Because of the presence of friction forces between contact surfaces of the axle and the bearings, a couple of 2M is needed to maintain the wheel rotating at constant speed. Therefore the forces through the centre O exerted on the journal bearing at one end is the weight W and the couple M. And the reaction forces supplied by the journal bearing at centre O is the reaction force R of magnitude equal to W and a couple M due to dry friction of the same magnitude but opposite in sense.
In other words, for the forces analysis of axle and journal bearing, an additional couple M is needed to overcome the frictional force under motion in static equilibrium. When the axle and journal bearing are in stationary contact, the couple M equal to zero and therefore the reaction force R should pass through centre O and the point of application at which the point of contact applied is at the lowest point A. But when the axle rotates at constant velocity or is under motion in static equilibrium, the presence of an additional couple M causes the point of contact of axle to shift away from the lowest point. The point of application B can be determined by transforming the system of reaction forces to a single reaction force vector and a perpendicular distance from the point of interest, centre O. Therefore, the axle will climbs up in the journal bearings to the point of application where slippage occurs.
And the couple M is equal to the reaction moment due to the friction force. Since the friction force is a tangential reaction force along the circular contact surfaces, the profile of contact surface axle and the bearing can be simplified by assuming the contract surfaces are in a single symmetric straght line at the point of direct contact. Because of the kinetic friction, the position of the point of application is therefore can be determined by the angle between the reaction R and the normal to the contact surface and the angle is equal to the angle of kinetic friction Φk. Imply
The distance d of the point of application can be determined by the equilibrium equation. Imply
For bearing with small friction coefficient, the angle of friction is a small value also, therefore sin Φk can be approximated by tan Φk which is equal to μk. Imply
Since the applied load W on an axle is not alway pointing downward, the line of action of reaction force R can be expressed as the tangent line to a circle of radius rf centred at O. Imply.
And the circle is called the circle of friction of the axle and bearing. Since the radius of the circle of friction is the perpendicular distance of the moment due the friction force only, the loading conditions of the axle doest not affect the radius of the circle. And the radius of the circle is
Journal Bearing with Parallel Forces Example 1For example, a pulley with journal bearing is used to just about to start lifting up a load W by applying a smallest downward force P.
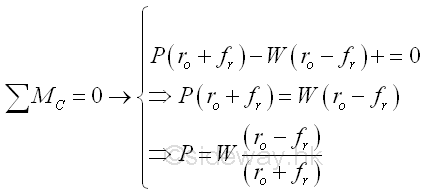
In order to overcome the frictional force between the axle and bearing, the applied force P used to lift up the load W is greater than the load W. And therefore the contact point of the axle and bearing will shift to the right at point B. Since the load W is just about to start moving, the angle of friction used is angle of static friction is used instead of angle of kinetic friction. The perpendicular distance d of the line of action of the reaction force R away from the center O is
Therefore the smallest applied force P for the impending motion can be determined by equilibrium equations. Consider moment about O, imply
Journal Bearing with Parallel Forces Example 2For example, a pulley with journal bearing is used to just about to start lowering down a load W by applying a smallest downward force P.
Before the load W can be lowered, the load W should overcome the frictional force between the axle and bearing, the applied force P used to hold the load W with downward impending motion is less than the load W. And therefore the contact point of the axle and bearing will shift to the left at point C. Since the load W is just about to start moving, the angle of friction used is angle of static friction is used instead of angle of kinetic friction. The perpendicular distance d of the line of action of the reaction force R away from the center O is
Therefore the smallest applied force P for the impending motion can be determined by equilibrium equations. Consider moment about C, imply
Journal Bearing with Non-Parallel Forces ExampleFor example, a pulley with journal bearing is used to just about to start lifting up a load W vertically by applying a smallest horizontal force P.
In order to overcome the frictional force between the axle and bearing, the applied force P used to lift up the load W is greater than the load W. And therefore the contact point of the axle and bearing will shift to the applied force P side at point D. Since the load W is just about to start moving, the angle of friction used is angle of static friction is used instead of angle of kinetic friction. The perpendicular distance d of the line of action of the reaction force R away from the center O is
Let the angle between the resultant force R and the Applied force P be θ. The relationships of the smallest applied force P for the impending motion, the load W and the resultant force R can be determined by equilibrium equations. Consider moment about point C, imply
The relationships of the smallest applied force P for the impending motion, the load W and the resultant force R can also be determined by equilibrium equations with the consideration of moment about centro O, imply
Graphically,
And the angle θ by sine rule,
And the smallest applied force P for the impending motion can be obtained by
Besides, since the three force W, P, and R are not parallel, the relationships of the smallest applied force P for the impending motion, the load W and the resultant force R can also be determined by assuming they are concurrent at point E. Imply
Since the three forces are concurrent. the lines of action of all three forces, i.e. W, P, and R, must pass through the point E. And because of the reactive friction force, the resultant force R must tangent to the circle of friction also. Therefore the reactive friction force can be expressed as an rotating angle of the resultant force R at point E. The angle of rotation is
And the smallest applied force P for the impending motion can be obtained by
©sideway ID: 120800010 Last Updated: 8/12/2012 Revision: 0 Ref: References
Latest Updated Links
Nu Html Checker 53 na |
![]() Home 5 Business Management HBR 3 Information Recreation Hobbies 9 Culture Chinese 1097 English 339 Travel 41 Reference 79 Hardware 55 Computer Hardware 260 Software Application 213 Digitization 37 Latex 52 Manim 205 KB 1 Numeric 19 Programming Web 289 Unicode 504 HTML 66 CSS 65 SVG 46 ASP.NET 270 OS 431 DeskTop 7 Python 72 Knowledge Mathematics Formulas 8 Set 1 Logic 1 Algebra 84 Number Theory 206 Trigonometry 31 Geometry 34 Calculus 67 Engineering Tables 8 Mechanical Rigid Bodies Statics 92 Dynamics 37 Fluid 5 Control Acoustics 19 Natural Sciences Matter 1 Electric 27 Biology 1 |
Copyright © 2000-2026 Sideway . All rights reserved Disclaimers last modified on 06 September 2019