
TrigonometryMore Trigonometric Func.Elements of Trigonometry Law of Sines 1 Draft for Information Only
Content Trigonometry
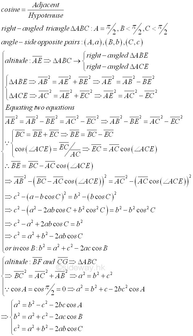
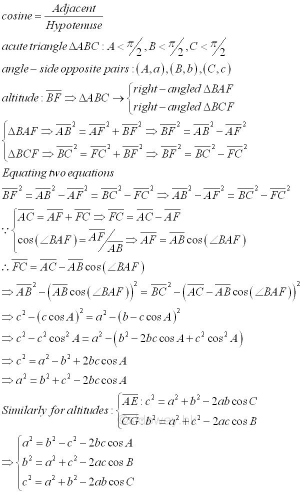
TrigonometryTrigonometric functions are related with the properties of triangles. Some laws and formulas are also derived to tackle the problems related to triangles, not just right-angled triangles. The Law of CosinesThe law of sines can be used to determine the shape of a triangle with known forms of Angle-Angle-Side (AAS), Angle-Side-Angle (ASA) and the ambiguous Side-Side-Angle (SSA) or Angle-Side-Side (ASS) only. While the law of cosines can be used to determine the shape of a triangle with known forms of Side-Angle-Side (SAS) and Side-Side-Side (SSS) only. As the law of cosines involve the square of the three sides of a triangle, the law of cosines can also be proved by the use of the distance formula or Pythagorean theorem besides using trigonometry. Proof Using Pythagorean TheoremUsing Pythagorean theorem to prove the law of cosines is similar to the proof by trigonometry. Although the relationship of angles and sides are still related by trigonometric function, the sides of a triangle are related by Pythagorean Theorem geometrically, the law of cosines are then derived algebratically. Similarly to the proof by trigonometry, the proof of the law of cosines using Pythagorean Theorem is also divided into three cases. For the first case, an acute triangle ΔABC with angle-side opposite pairs (A,a), (B,b) and (C,c) and all the internal angles less than π/2, three altitudes from vertexes A, B, and C can be constructed to the side opposite of the acute triangle.
Each altitude can divide the side opposite to the vertex of the triangle into two parts accordingly to form two paired right-angled triangle in a similar way. For example, side b of ΔABC is divided by altitude BF drop from vertex B into AF and FC to form two triangles ΔBAF and ΔBCF and the altitude BF is the common line seqment of two triangles. For ΔBAF, according to the Pythagorean theorem, the square of line segment AB is AB2=AF2+ BF2 , imply BF2 =AB2 -AF2 . For ΔBCF, according to the Pythagorean theorem, the square of line segment BC is BC2=FC2+ BF2 , imply BF2 =BC2 -FC2 . Equating two equations and get BF2=AB2-AF2=BC2-FC2. Since AC=AF+FC, imply FC=AC-AF. Both AF and FC can be expressed in term of a cosine function. Let AF =AB cos(∠BAF), imply FC=AC-AB cos(∠BAF). Therefore AB2-(AB cos(∠BAF))2=BC2-(AC-AB cos(∠BAF))2 ⇒c2-(c(cos A))2=a2-(b-c(cos A))2 ⇒c2-c2cos2A=a2-b2+2bc(cos A)-c2cos2A ⇒a2=b2+c2-2bc(cos A).
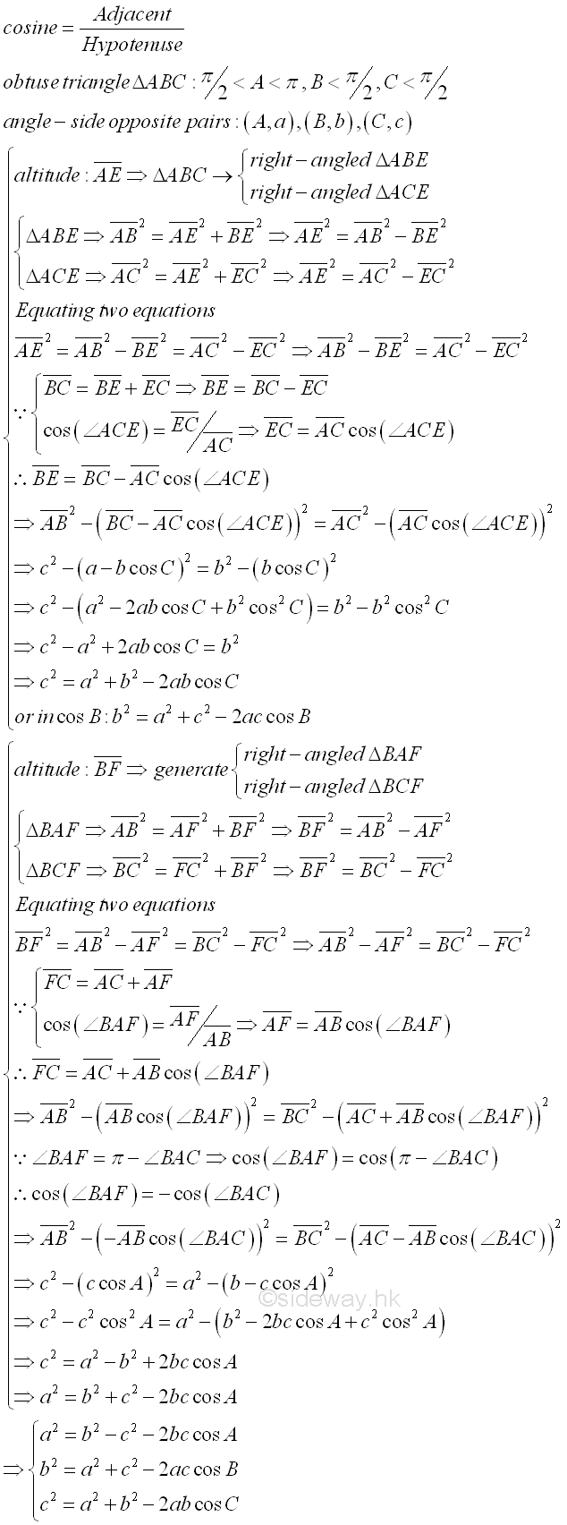
For the second case, an obtuse triangle ΔABC with angle-side opposite pairs (A,a), (B,b) and (C,c) and one of the internal angles, A is greater than π/2 but less than π. Only one of the three altitudes which is drawn from vertex A can be constructed onto the side opposite of the obtuse triangle, while the other two altitudes lie outside the obtuse triangle.
Similarly, ΔABC is divided by altitude AE to form two triangles ΔABE and ΔACE as in the acute triangle case, two laws of cosines related to the altitude AE can be determined accordingly. For altitudes BF and CG, two right angles are formed outside the obtuse triangle. Considering the altitudes BF, two triangles, ΔBCF and ΔBAF, are formed outside the obtuse triangleand and the altitude BF is the common line seqment of two triangles. For ΔBAF, according to the Pythagorean theorem, the square of line segment AB is AB2=AF2+ BF2 , imply BF2 =AB2 -AF2 . For ΔBCF, according to the Pythagorean theorem, the square of line segment BC is BC2=FC2+ BF2 , imply BF2 =BC2 -FC2 . Equating two equations and get BF2=AB2-AF2=BC2-FC2. Since FC=AF+AC and both AF and FC can be expressed in term of a cosine function. Let AF =AB cos(∠BAF), imply FC=AC+AB cos(∠BAF). Therefore AB2-(AB cos(∠BAF))2=BC2-(AC+AB cos(∠BAF))2. Since ∠BAF=π-∠BAC⇒cos(∠BAF)=cos(π-∠BAC), by reduction formula,cos(∠BAF)=-cos(∠BAC), therefore AB2-(-AB cos(∠BAC))2=BC2-(AC-AB cos(∠BAC))2 ⇒c2-(c(cos A))2=a2-(b-c(cos A))2 ⇒c2-c2cos2A=a2-b2+2bc(cos A)-c2cos2A ⇒a2=b2+c2-2bc(cos A) as in the acute triangle case. Imply
For the third case, a right-angled triangle ΔABC with angle-side opposite pairs (A,a), (B,b) and (C,c) and one of the internal angles, A is equal to π/2. Only one of the three altitudes which is drawn from vertex A can be constructed onto the side opposite of the right-angled triangle, while the other two altitudes lie on the sides of the right-angle triangle.
Similarly, ΔABC is divided by altitude AE to form two triangles ΔABE and ΔACE as in the acute triangle case, two laws of cosines related to the altitude AE can be determined accordingly. For altitudes BF and CG, the two altitudes lie exactly on the side of the right-angled triangle, ΔABC. By Pythagorean theorem, a2=b2+c2. Since cos A = cos π/2 is equal 0, imply a2=b2+c2.-2bc(cos A) as before. Imply
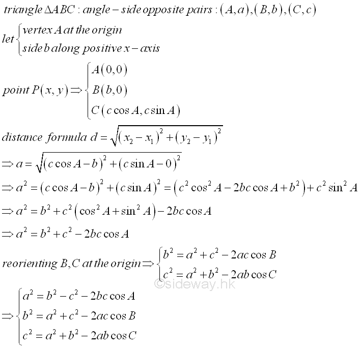
Proof Using Distance FormulaWhen the criteria of a triangle are constructed on the Cartesian coordinate system with one of the vertex of the triangle at the origin and one side of the triangle positioned along the positive x-axis, the distance formula can be used to prove the law of consines one at a time and the other formulas can be obtained by reorienting the triangle with another vertex at the origin. Since the geometrical representation of the distance formula does not affected by the type of the vertex angle at the origin. The points of a acute, obtuse or right angle triangle is represent by the coordinate value accordingly, therefore the consideration of the distance formula for the acute triangle case is also true for the obtuse or right angled triangle case.
For an acute triangle angle ΔABC with vertex A located at the origin and side b positioned along the positive x-axis, the coordinates of A and C are A(0,0) and C(b,0) accordingly. Assuming point B(x,y) lies on a circle with radius equal to the length of side AB, c, the coordinates of B is equal to B(c(cos A),c(sin A)). The value of the coordinates of the triangle in standard position are always true for any angle A, that is true for acute, obtuse and right angle triangles. From this set-up as shown in the figure, the lenght of side a can be determined by points B and C using the distance formula. Imply a=√((c(cos A)-b)2+(c(sin A)-0)2) ⇒ a2=(c(cos A)-b)2+(c(sin A))2 ⇒ a2=(c2cos2A-2bc(cos A)+b2)+c2sin2A ⇒ a2=b2+c2(cos2A+sin2A)-2bc(cos A). Since cos2A+sin2A=1, imply a2=b2+c2-2bc(cos A). Then other formulas of the law of cosines can be obtained in similar way by reorienting the position of the triangle with vertex B and C at the origin. Imply.
©sideway ID: 130600017 Last Updated: 6/16/2013 Revision: 1 Ref: References
Latest Updated Links
Nu Html Checker 53 na |
![]() Home 5 Business Management HBR 3 Information Recreation Hobbies 9 Culture Chinese 1097 English 339 Travel 41 Reference 79 Hardware 55 Computer Hardware 260 Software Application 213 Digitization 37 Latex 52 Manim 205 KB 1 Numeric 19 Programming Web 289 Unicode 504 HTML 66 CSS 65 SVG 46 ASP.NET 270 OS 431 DeskTop 7 Python 72 Knowledge Mathematics Formulas 8 Set 1 Logic 1 Algebra 84 Number Theory 206 Trigonometry 31 Geometry 34 Calculus 67 Engineering Tables 8 Mechanical Rigid Bodies Statics 92 Dynamics 37 Fluid 5 Control Acoustics 19 Natural Sciences Matter 1 Electric 27 Biology 1 |
Copyright © 2000-2026 Sideway . All rights reserved Disclaimers last modified on 06 September 2019