
Sound PropagationEquation of StateLaw of Conservation Draft for Information Only
Content
Acoustic Wave Propagation
Acoustic Wave Propagation
Based on linear acoustic, assuming the
cross-section area equals to A and no mass is entering or leaving the system due to the acoustic
disturbance, the wave propagation can be represented by following figure:
where, at ambient environment
and at acoustic disturbance state:
where,
properties of acoustic disturbance:
where,
properties at wavefront:
Acoustic Propagation Properties
Since the acoustic pressure variations is much smaller than the ambient
pressure, the total pressure approximately equals to the ambient pressure.
Similarly, the acoustic density variations is also much smaller than the
ambient medium density, the total medium density approximately equals to the
ambient medium density. For a quiescent medium, the initial medium velocity equals to
zero, therefore the total velocity equals to the acoustic velocity variations.
Besides, for a homogenous quiescent medium, the initial medium velocity, the
ambient pressure and the ambient medium density are constant and independent of
time and position. Therefore:
Linearized Acoustic Wave Equation, 1D
Since both u
, ρ are very small
when comparing with ρo and they are a
function of time and position, equations can be linearized by neglecting
second and higher order terms.
Substitute.variables
approximation into continuity equation
and linearize the equation by neglecting second and higher order terms, then:
The time derivative of the equation is
Substitute.variable
approximations into equation
of motion and linearize the equation by neglecting second and higher order terms, then:
The position derivative of the equation is
Therefore, equate the conservation of mass and conservation of momentum, then:
To simplify the equation, the equation of state is applied and to make the equation more practical, the equation is expressed in term of the fluctuating pressure, which can be measured easily. Then
Speed of Acoustic Wave PropagationFor a control volume, when reducing the control volume to the medium at the wavefront of acoustic wave propagation, from the principle of mass conservation, the mass of medium in the control volume should be constant.
Assume c
is the speed of wavefront propagation and propagates away from the source, and Δu is the acoustic velocity
fluctuation, since the fluctuation is a relative velocity to the wave
propagation, the net medium velocity is
c-Δu at the acoustic source side. Then
Alternately, the continuity equation can be expressed as the
net instantaneous mass flow into and out of the control volume to be equal. Then
Since c is much greater than Δu, therefore:
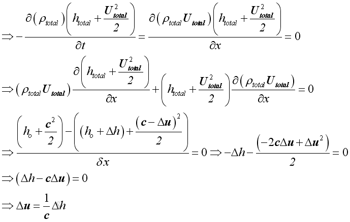
Similarly, for the same control volume, from principle of energy conservation, the energy of medium in the control volume should be constant.
Assume Δh
is the acoustic enthalpy variations of the medium in the control volume. Since
ρtotalutotal
is not equal to zero and conservation of mass, by neglecting second
order small term. Then:
Alternately, the conservation of energy can be expressed as the net instantaneous energy flow into and out of the control volume to be equal. Then
Neglecting second order small term. Then
Equating mass conservation and energy conservation. Then
The acoustic disturbance is small and can be assumed as an isentropic process. Imply
Substitute Δh into the equation of wave propagation, Imply
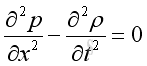
Since both ρ and p are the small acoustic fluctuation, and under isentropic process, imply
For an isentropic process, imply
Substitute into the equation of wave propagation, Imply
Wave Equation, 1DSubstitute the speed of wave propagation into the wave equation, Imply
©sideway ID: 100900020 Last Updated: 9/17/2010 Revision: 1 Ref: References
Latest Updated Links
Nu Html Checker 53 na |
![]() Home 5 Business Management HBR 3 Information Recreation Hobbies 9 Culture Chinese 1097 English 339 Travel 41 Reference 79 Hardware 55 Computer Hardware 260 Software Application 213 Digitization 37 Latex 52 Manim 205 KB 1 Numeric 19 Programming Web 289 Unicode 504 HTML 66 CSS 65 SVG 46 ASP.NET 270 OS 431 DeskTop 7 Python 72 Knowledge Mathematics Formulas 8 Set 1 Logic 1 Algebra 84 Number Theory 206 Trigonometry 31 Geometry 34 Calculus 67 Engineering Tables 8 Mechanical Rigid Bodies Statics 92 Dynamics 37 Fluid 5 Control Acoustics 19 Natural Sciences Matter 1 Electric 27 Biology 1 |
Copyright © 2000-2026 Sideway . All rights reserved Disclaimers last modified on 06 September 2019