
Sound PropagationEquation of StateLaw of ConservationAcoustic Wave Propagation, 1DAcoustic Plane WaveAcoustic Plane Wave Properties Draft for Information Only
Content Acoustic 3D Plane Wave
Acoustic 3D Plane WaveThe 1D plane wave can be extended into a 3D plane wave by considering a rectangular volume with coordinates x, y, z. Continuity Equation, 3DFor a control volume, from the principle of conservation of mass, the instantaneous rate of change of mass in a control volume equals to the net mass flux flow into or out of the control volume, therefore:
As in 1D plane wave, the linearized form is :
And the time derivative of the equation is:
Euler's Equation of Inviscid Motion, 3DFor a control volume, from principle of momentum conservation, the instantaneous rate of change of net momentum of a control volume equals to the net applied force and the net momentum change due to the momentum flux flow into or out of the control volume. The applied force in this case is pressure only and no other forces, no gravity, no viscous force etc., then: In x direction:
As in 1D plane wave, the linearized form is :
And the position derivative of the equation is
Similarly in y and z direction is
And get::
Equate two equations::
Wave Equation, 3D Applying the equation of state and substitute the speed of propagation, imply.
Plane Wave in 3D Assume harmonic sound wave, imply
substitute the harmonic function into the 3D wave equation and take the time differential operation, imply:
and get the Helmholtz equation:
Assume the pressure is of format:
substitute the pressure function into the Helmholtz equation, and take the Laplacian differential operation:
let the dispersion equation :
substitute into the Helmholtz equation:
By separating the variable, imply:
The corresponding solutions are:
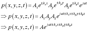
substute all into the pressure function and get the solution of wave equation is:
Therefore a propagating wave can be decomposed into three components along three axes. A positive sign implies a forward wave from the source to the free space. While a negative sign implies a reflected wave. With the dispersion of the value, k into three components along the three axes ©sideway ID: 101000014 Last Updated: 10/16/2010 Revision: 0 Ref: References
Latest Updated Links
Nu Html Checker 53 na |
![]() Home 5 Business Management HBR 3 Information Recreation Hobbies 9 Culture Chinese 1097 English 339 Travel 41 Reference 79 Hardware 55 Computer Hardware 260 Software Application 213 Digitization 37 Latex 52 Manim 205 KB 1 Numeric 19 Programming Web 289 Unicode 504 HTML 66 CSS 65 SVG 46 ASP.NET 270 OS 431 DeskTop 7 Python 72 Knowledge Mathematics Formulas 8 Set 1 Logic 1 Algebra 84 Number Theory 206 Trigonometry 31 Geometry 34 Calculus 67 Engineering Tables 8 Mechanical Rigid Bodies Statics 92 Dynamics 37 Fluid 5 Control Acoustics 19 Natural Sciences Matter 1 Electric 27 Biology 1 |
Copyright © 2000-2026 Sideway . All rights reserved Disclaimers last modified on 06 September 2019