
Sound PropagationEquation of StateLaw of ConservationAcoustic Wave Propagation, 1DAcoustic Plane Wave Draft for Information Only
Content Acoustic Plane Wave Properties
Acoustic Plane Wave PropertiesThe acoustic pressure caused by an acoustic disturbance varies with both time and position. Besides studying of the fluctuation of acoustic pressure that associated with a sound wave with respective to time at any point, many practical problems focus on the pressure variation caused by the sound at any point with respective to position. Acoustic PressureThe acoustic pressure at any point varies with time sinusoidally, the root mean square is more convenient to be used to measure the alternating pressure fluctuation by taking the square root of the average of squares of instantaneous acoustic pressures within a period T. That is
where
prms is the root mean square of acoustic pressures
The instantaneous acoustic pressure can be expressed as:
where
p(x,t) is the instantaneous acoustic pressures Therefore:
Since the time average of a cosine function of function of time equals to zero, imply :
Acoustic Pressure AdditionThe addition of two sound pressures of different frequency equals to:
Imply the square of the total sound pressure is
The root mean square value of the total the total acoustic pressure can be obtained by taking the time average process. Similarly, the cosine term of function of time equal s to zero, and get
Therefore. the total acoustic pressure of the two equal sound pressure due to two noises of different frequencies are only the √2 times of the sound pressure due to either noise source. The result can also be extended to a continuous bands of frequencies. However, when the two frequencies are equal and coherent, the result will be different. When there is the present of phase angle, the result becomes
Since the time average of the cosine terms of functions of time is zero, the phase angle does not affect the result of sounds with different frequencies. However, the phase angle affects the result when the frequencies of two sound sources are the same. By taking the time average, the equation with same frequency becomes:
Acoustic Intensity Acoustic intensity is the sound power passing through a unit area, it can be considered as the rate of transmitting energy through the medium cross section area by medium fluctuation due to sound wave. The vibration of medium composes the change in both potential and kinetic energy. Assuming constant mass and at initial state both potential energy and kinetic energy are zero with the acoustic disturbance equals zero. The potential energy EPE and kinetic energy EKE of an infinitesimal element of volume Vo due to acoustic fluctuation along x direction is:
From the linearized continuity equation, where s is the acoustic displacement,
Substitute the speed of propagation,
The volume of the infinitesimal element can be expressed as,
Substitute the differential in term of pressure, then
The differential volume can then be equals to:
Therefore the potential energy is:
For the kinetic energy, substitute the velocity in term of pressure :
Therefore the total instantaneous energy of an infinitesimal element due to acoustic disturbance is:
Since the wave propagate at the speed of s, the volume of infinitesimal element per unit area in time δt can be expressed as:
As the instantaneous intensity is the rate of energy flow through a unit area, imply:
Or, in term of acoustic pressure and acoustic velocity:
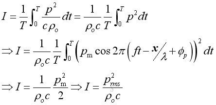
Similar to the pressure, the intensity usually expressed as an average in practice, imply:
In form of complex exponential representation, the intensity equals to the real active component of intensity:
Imply
Acoustic Power of Plane Wave Sound power is defined as the integration of intensity over the surface area enclosing the enclosure and is
SPL and SIL of Plane Wave The Sound Pressure Level of a plane wave:
Assume ρo = 1.2kg/m3, c = 334m/s,the Sound Intensity Level of a plane wave:
Plane Wave Example A plane wave propagates with a frequency of 50Hz and maximum pressure amplitude 150Pa in positive x direction with characteristic that at time t = 0 and at x = 0, the plane wave in term of acoustic pressure can be expressed as:
The corresponding plane wave in term of medium velocity can be expressed as:
The mean intensity of the plane wave can be expressed as:
The sound intensity level of the plane wave in term of dB can be expressed as:
©sideway ID: 100900023 Last Updated: 10/9/2010 Revision: 1 Ref: References
Latest Updated Links
Nu Html Checker 53 na |
![]() Home 5 Business Management HBR 3 Information Recreation Hobbies 9 Culture Chinese 1097 English 339 Travel 41 Reference 79 Hardware 55 Computer Hardware 260 Software Application 213 Digitization 37 Latex 52 Manim 205 KB 1 Numeric 19 Programming Web 289 Unicode 504 HTML 66 CSS 65 SVG 46 ASP.NET 270 OS 431 DeskTop 7 Python 72 Knowledge Mathematics Formulas 8 Set 1 Logic 1 Algebra 84 Number Theory 206 Trigonometry 31 Geometry 34 Calculus 67 Engineering Tables 8 Mechanical Rigid Bodies Statics 92 Dynamics 37 Fluid 5 Control Acoustics 19 Natural Sciences Matter 1 Electric 27 Biology 1 |
Copyright © 2000-2026 Sideway . All rights reserved Disclaimers last modified on 06 September 2019