
Draft for Information Only
ContentRelated Rates
Related RatesFor flowing system, when the relationship between its input and output can be modelled by a function, the derivatives, instantaneous rates of change can also be used as related rates of change for determining the unknown rate of change by the known rate of change. Related flowThe most common related flows are the filling and discharge processes associated with physical system. Sometimes the related flow can also be other physical systems, for example wave propagation. Related Filling Flow ProblemAn inverted conical tank of height H=25 and base radius R=7 are used to collect a flow. When the flow flows into the tank at a constant rate of Q=150, the level of filling is increased simultaneously and the instantaneous rate of level rising, dh/dt at time 7 is:
According to the given information. The unknown rate of change is the vertical level with respect to time t and the known rate of change is the flow volume into the concial tank with respect to time t. Since the shape of conical tank is fixed, the relationship between the height h and radius r is at a fixed ratio. Besides the total volume of flow inside the concial tank can also be determined. Therefore the mathematical model of the filling tank is:
Since r and h are related at a fixed ratio, and both r and h are function of time, r can be expressed in terms of h, imply,
The relationship between the unknown rate of change and known rate of change can be determined by:
For a constant flow rate, total volume flow at level h can also be expressed in term of time t:
Therefore the relationship between the unknown rate of change and known rate of change in terms of time t is:
Subsitute all variables and get:
Graphically:
Intantaneous velocity_level and level plot against time:
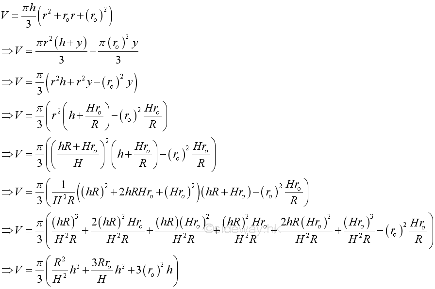
Related Discharge flow ProblemAn inverted conical tank of original height H=25 and base radius R=7 are used as a flow storage. A circular hole of radius ro=1 has been cut off at its apex for draining. The initial level above the hole is ho=20. Liquid drains at a discharge velocity v=√(2gh) for draining. When liquid drains out from the tank, the head or level about the draining hole is decreased simultaneously and the instantaneous rate of level lowering, dh/dt at head h=7 is:
According to the given information. The unknown rate of change is the vertical level with respect to time t and the known rate of change is the flow velocity drains out from the concial tank as a function of time t. Since the shape of conical tank and the ipex draining opening is fixed, the relationship between the height h and radius r is at a fixed ratio and the driaining volume flow rate is constrained also. Besides the total remaining volume of liquid inside the concial tank can also be determined. Therefore the mathematical model of the tank draining is:
Since the shape of conical tank is fixed, the relationship between radius r and level h is:
The volume of remaining liquid can also be expressed in terms of level h:
Therefore the related rates of change between volume and level with respect to time t is:
From the given draining velocity, the related rates of change between level and velocity with respect to time t where negative means flow downward is:
Since the draining opening is fixed, although the draining velocity is not a linear function, the relationship between discharged volume and draining velocity is fixed also. Therefore through infinitesimal approach, the infinitesimal discharged volume with respect to time t is equal to the flow rate that is the flow velocity time the passing through cross-section area. imply:
Subsitute all variables and get:
Graphically:
Intantaneous velocity_level and level plot against time:
©sideway ID: 111000006 Last Updated: 10/10/2011 Revision: 0 Ref: References
Latest Updated Links
Nu Html Checker 53 na |
![]() Home 5 Business Management HBR 3 Information Recreation Hobbies 9 Culture Chinese 1097 English 339 Travel 41 Reference 79 Hardware 55 Computer Hardware 260 Software Application 213 Digitization 37 Latex 52 Manim 205 KB 1 Numeric 19 Programming Web 289 Unicode 504 HTML 66 CSS 65 SVG 46 ASP.NET 270 OS 431 DeskTop 7 Python 72 Knowledge Mathematics Formulas 8 Set 1 Logic 1 Algebra 84 Number Theory 206 Trigonometry 31 Geometry 34 Calculus 67 Engineering Tables 8 Mechanical Rigid Bodies Statics 92 Dynamics 37 Fluid 5 Control Acoustics 19 Natural Sciences Matter 1 Electric 27 Biology 1 |
Copyright © 2000-2026 Sideway . All rights reserved Disclaimers last modified on 06 September 2019